Предмет: Алгебра,
автор: Аноним
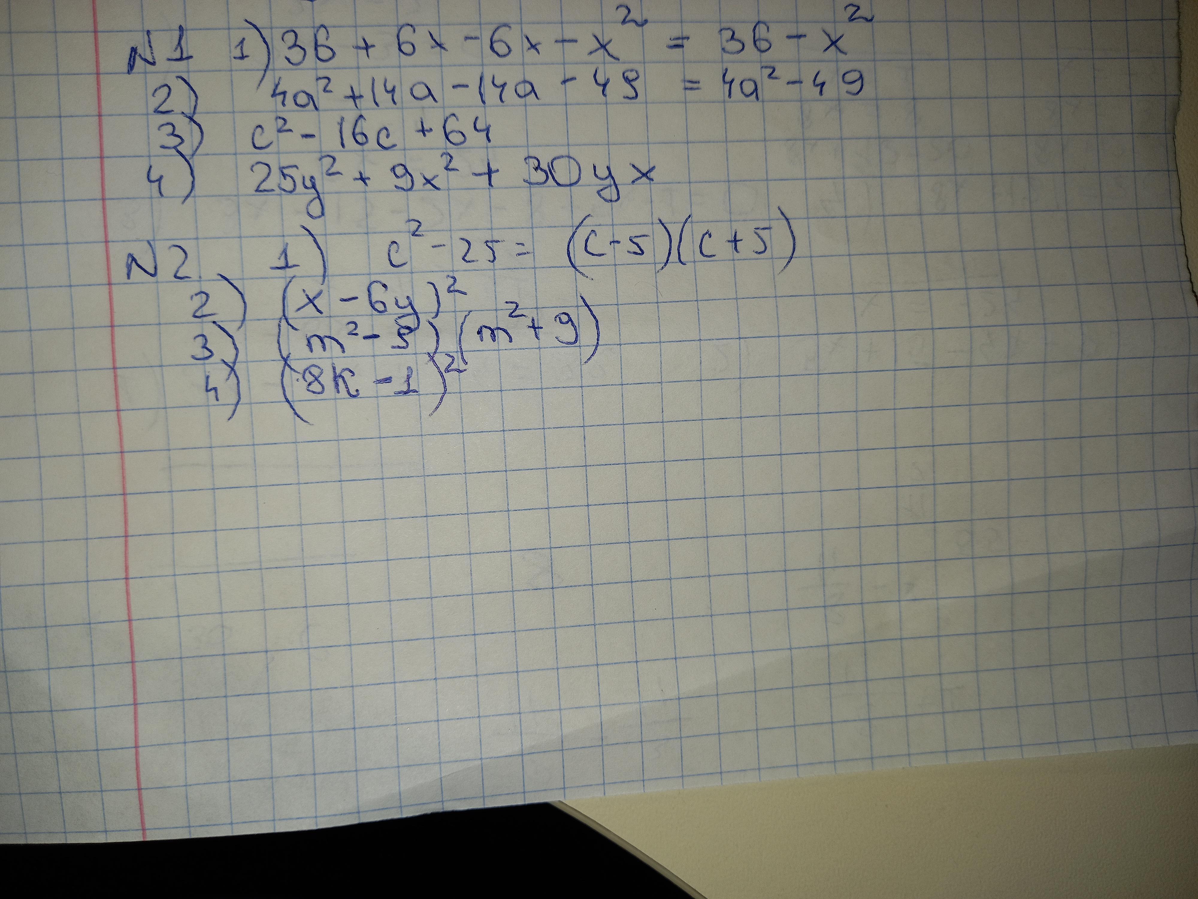
2вариант 1,и 2задание сделайте срочно кто сделает тому 5звезд, 100БАЛОВ на фото
Приложения:
Ответы
Автор ответа:
0
Ответ на прикреплённом фотфото
Приложения:
Автор ответа:
1
Алвлдмдадчдчдяжжыжсжжмжвж
Приложения:
Похожие вопросы
Предмет: Русский язык,
автор: Yanazv
Предмет: Русский язык,
автор: ульяна350
Предмет: Русский язык,
автор: frhchv
Предмет: Математика,
автор: revlik2006
Предмет: Литература,
автор: 066197Julia