Предмет: Алгебра,
автор: yanashakalova0
Задание 1.
Решите уравнения:
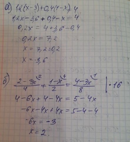
а) Skrinshot 13-10-2021 170717.png (16 баллов);
б) Skrinshot 13-10-2021 170743.png (16 баллов).
Задание 2 (18 баллов).
СРОЧНОООООО ХЕЛППП
Определите количество решений системы графическим методом:
Skrinshot 13-10-2021 170834.pngЗапишите алгоритм построения заданных графиков и подпишите их при построении.
Приложения:
Ответы
Автор ответа:
3
Ответ:
На фото
Объяснение:
Приложения:
Harita228:
не верно. первое задание - а = 9 , б = (дробь) 4/7.
Автор ответа:
2
Ответ:
1 а) 3,6 б) 2 2) Одно решение
Объяснение:
Похожие вопросы
Предмет: Английский язык,
автор: tanya375
Предмет: Русский язык,
автор: sofyasaweljewa
Предмет: Русский язык,
автор: Gick
Предмет: Литература,
автор: ivanyskinvlad
Предмет: Математика,
автор: ffffryy