Предмет: Математика,
автор: jopa6199
Приведи знаменатель дроби к числу 10 и запиши дробь в виде десятичной дроби
1/5 3/5
Приведи знаменатель дроби к числу 100 и запиши дробь в виде десятичной дроби
1/4 9/25
Помогите плссс
Ответы
Автор ответа:
17
Ответ:
Смотри решение на фото..
Приложения:
jopa6199:
Спасибо!
Проверено в онлайн мектеп
Все верно!
Все верно!
спасибо!
Такой красивый почерк
Автор ответа:
4
Ответ:
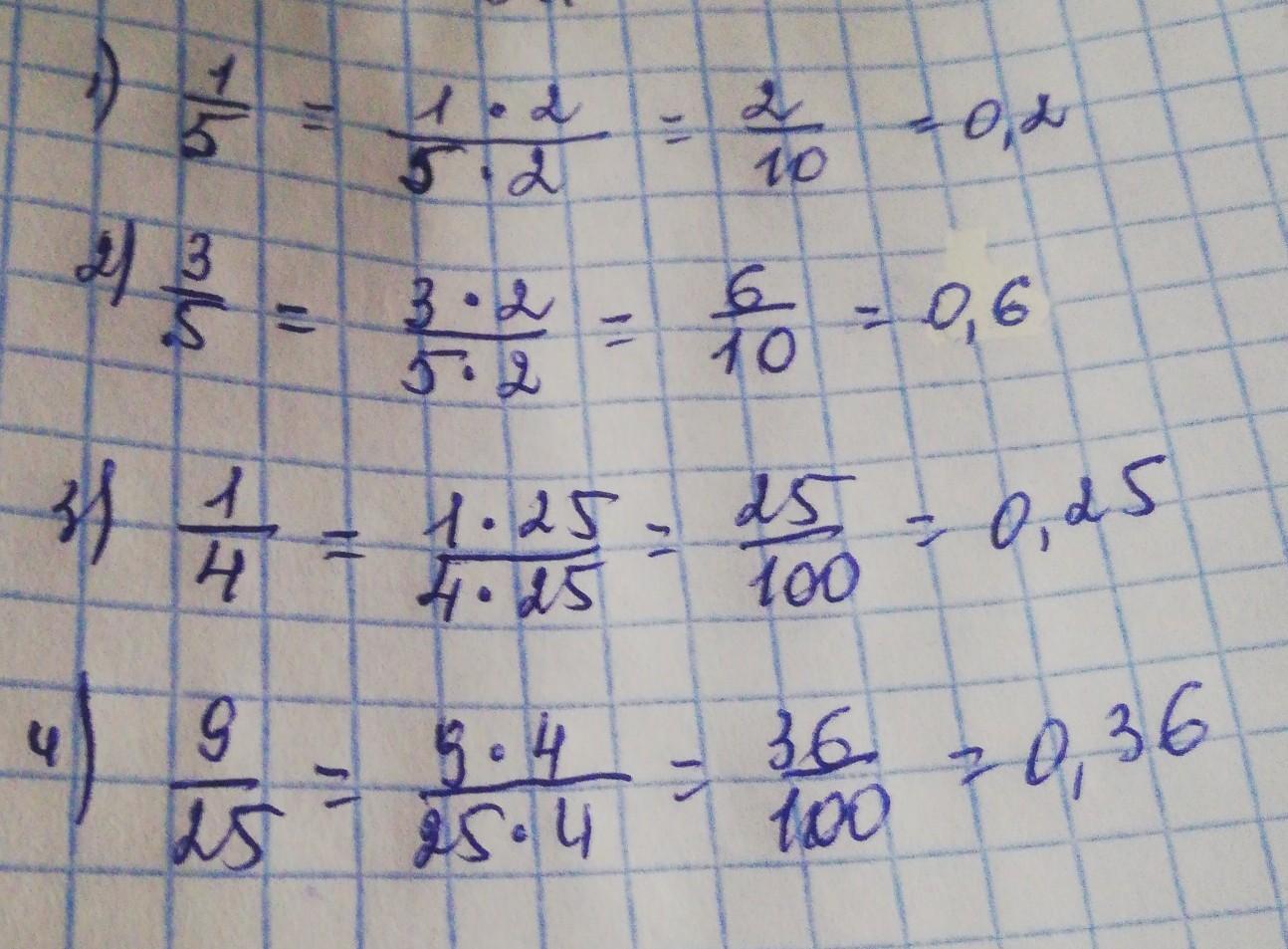
1) 1/5=1×2/5×2= 2/10=0.2
2) 3/5=3×2/5×2=6/10=0.6
3) 1/4=1×25/4×25=25/100=0.25
4) 9/25=9×4/25×4=36/100=0.36
Спасибо!
Все верно
спасибо !
Похожие вопросы
Предмет: Русский язык,
автор: нико43
Предмет: Русский язык,
автор: нотик3
Предмет: Қазақ тiлi,
автор: алина2574
Предмет: Алгебра,
автор: nilabordak
Предмет: Литература,
автор: dem4enko1