Предмет: Алгебра,
автор: danilvalsin4
помогите пожалуйста ВПР пробы
Приложения:
Ответы
Автор ответа:
1
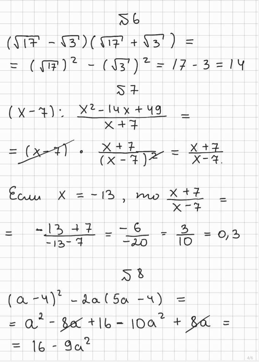
№6. 14
№7. 0,3
№8. 15
№9. 14
№10. 7
Приложения:
Похожие вопросы
Предмет: Английский язык,
автор: lemon21
Предмет: Русский язык,
автор: полинаразинькова
Предмет: Русский язык,
автор: спнин
Предмет: Английский язык,
автор: nil4332