Предмет: Алгебра,
автор: yur4ik15ap490u1
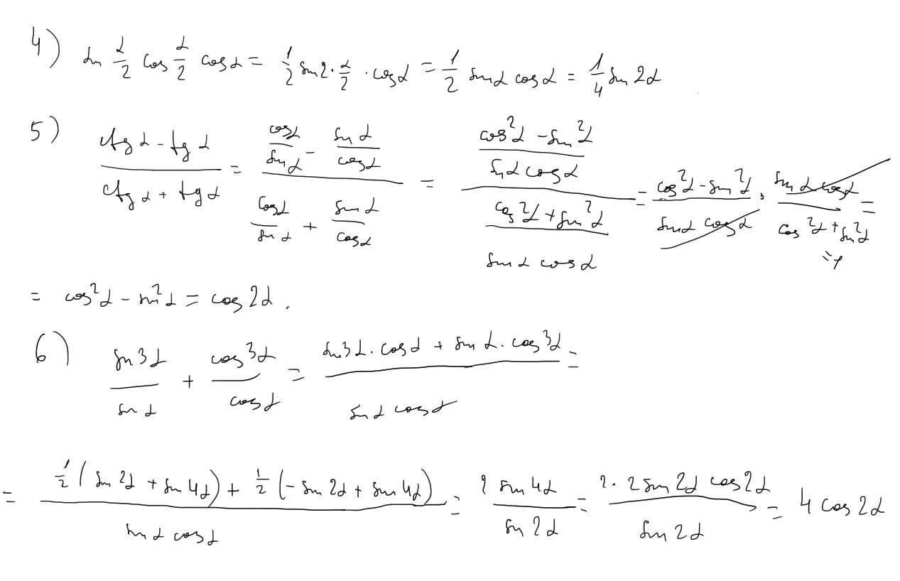
Нужно упростить выражения
Приложения:
Ответы
Автор ответа:
0
Ответ:
как-то так
Объяснение:
Приложения:
Похожие вопросы
Предмет: Русский язык,
автор: alesha4450
Предмет: Русский язык,
автор: лев108
Предмет: Русский язык,
автор: БабаВарвараПоможет
Предмет: Русский язык,
автор: timetosleep
Предмет: Русский язык,
автор: PentaReaper