Предмет: Геометрия,
автор: smartredmi7a
1 варіант!!!!!! СРОЧНО!!!!!ПОМОЖІТЬ!!БУДЬ ЛАСКА!!!! HELP!!!!!
Приложения:
olgaua64:
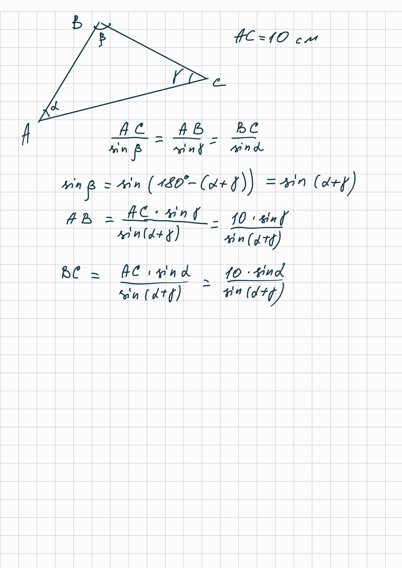
Теорема синусів
ну
Ответы
Автор ответа:
1
Відповідь:
Пояснення:
Приложения:
Похожие вопросы
Предмет: Технология,
автор: AngelsRitms
Предмет: Українська мова,
автор: shelest14
Предмет: Русский язык,
автор: Nikitorus
Предмет: Қазақ тiлi,
автор: 4677654336