Предмет: Алгебра,
автор: daniilabakymov21
Дам 50 баллов! Заранее спасибо)
Приложения:
kikop55rip:
извините это брат нажал малинький
Да ты сам маленький, писать научись...
Пеппер, помню общались с тобой) Но врятли ты меня помнишь, спасибо за ответ)
Андрей Пастухов я 17 лет
Пруфы)
Ответы
Автор ответа:
2
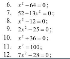
х²-64=0; х²=64; х=±8
52-13х²=0; 13х²=52; х²=4; х=±2
х²-12=0; х²=12; х=±√12=±2√3
2х²-25=0; 2х²=25; х²=12,5; х=±√12,5
х²+36=0; х²=-36; решений нет
х²=100; х=±10
7х²-28=0; 7х²=28; х²=4; х=±2
Спасибо тебе)
Лучший)
Старый друг)
Автор ответа:
0
6. х²-64=0; (х-8)*(x+8)=0; х=±8;
7. 52-13х²=0; -13(х²-4)=0; (х-2)*(x+2)=0; х=±2;
8. х²-12=0; (х-2√3)*(x+2√3)=0; х=±2√3;
9. 2х²-25=0; 2х²=25; х²=25/2; х=±5/√2=±5√2/2;
10. х²+36=0; корней нет. т.к. сумма неотрицательного числа х² и 36 не может быть равно нулю.
11. х²=100; (х-10)(х+10)=0; х=±10;
12. 7х²-28=0; 7х²=28; х²=4; (х-2)(х+2)=0; х=±2
Похожие вопросы
Предмет: Русский язык,
автор: zazzaazzz
Предмет: Русский язык,
автор: hava051
Предмет: Английский язык,
автор: alexa50
Предмет: Химия,
автор: Armano13
Предмет: Математика,
автор: natalidnepr1977