Предмет: Алгебра,
автор: Аноним
ПОООМОООООГИИИИТЕЕЕЕЕЕЕЕЕЕЕ
Приложения:
Ответы
Автор ответа:
0
Ответ:
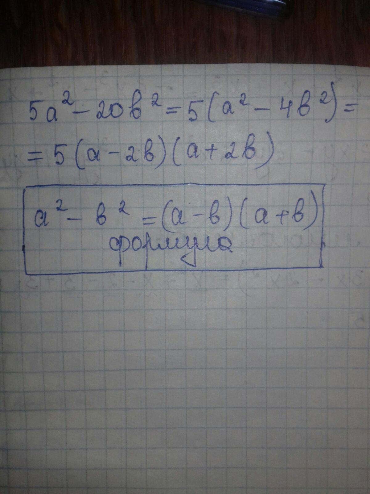
Смотри фото ниже.
Объяснение:
Приложения:
Автор ответа:
1
5a²-20b²
5(a²-4b²)
5(a-2b)×(a+2b)
Похожие вопросы
Предмет: Қазақ тiлi,
автор: ernaz2005ksm
Предмет: Русский язык,
автор: 1232017
Предмет: Қазақ тiлi,
автор: AsyaBlack
Предмет: Физика,
автор: sovesttvo9
Предмет: Алгебра,
автор: ZarinaKS