Предмет: Алгебра,
автор: dimaddd
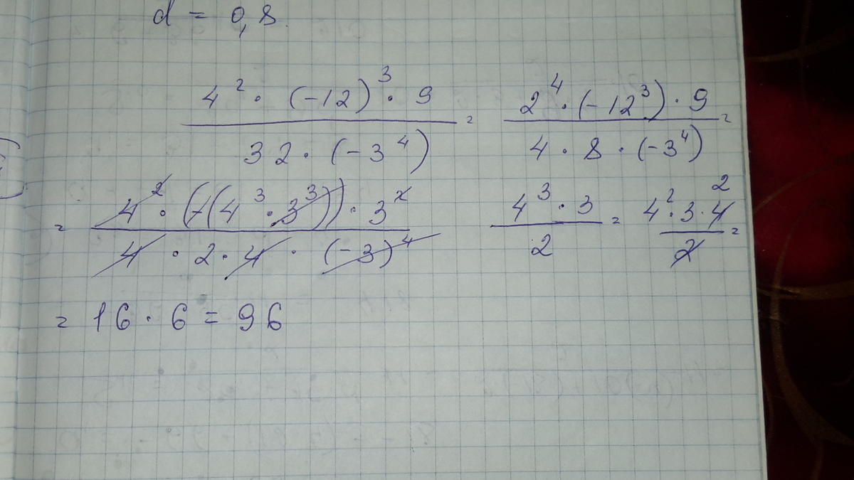
Вычисли наиболее национальным способом
Приложения:
Ответы
Автор ответа:
0
"""""""""""""""""""""""""""""""""""""""""""""""
Приложения:
Автор ответа:
0
спасибо большое благодарю
Автор ответа:
0
Незачто
Похожие вопросы
Предмет: Қазақ тiлi,
автор: Аноним
Предмет: Химия,
автор: lsofoffofodLso
Предмет: Русский язык,
автор: romaazizov146
Предмет: Математика,
автор: Даша1230