Предмет: Алгебра,
автор: kohsofi7
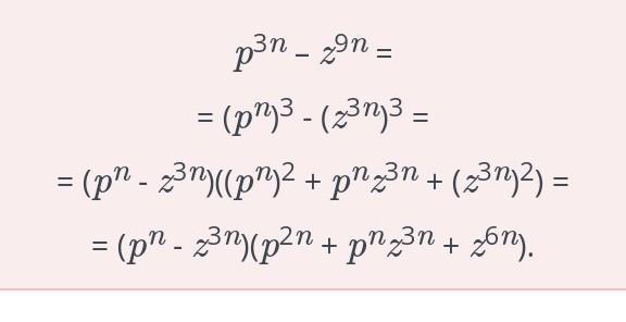
Разложи на множители. Заполни пропуски
Приложения:
Ответы
Автор ответа:
3
Ответ:
ответ на фото,надеюсь понятно
Приложения:
Похожие вопросы
Предмет: Русский язык,
автор: АринаКонстантинова
Предмет: Окружающий мир,
автор: ната682
Предмет: Русский язык,
автор: Лилька222
Предмет: География,
автор: kristina2578
Предмет: Математика,
автор: 2501152528f