Предмет: Математика,
автор: Аноним
x*240 : 80 = 30*3
Ну пж
Приложения:
kolomeecmaksim95:
120
Ой, х*240/80=30*3
x×240:80=30 x×3=90 3x=90 x=90:3 x=30
сорьки
Ответы
Автор ответа:
1
Ответ:
Л э нвжщнведвпдарвнжыцзгз6цхвгыожжажга
Приложения:
Автор ответа:
0
Пошаговое объяснение:
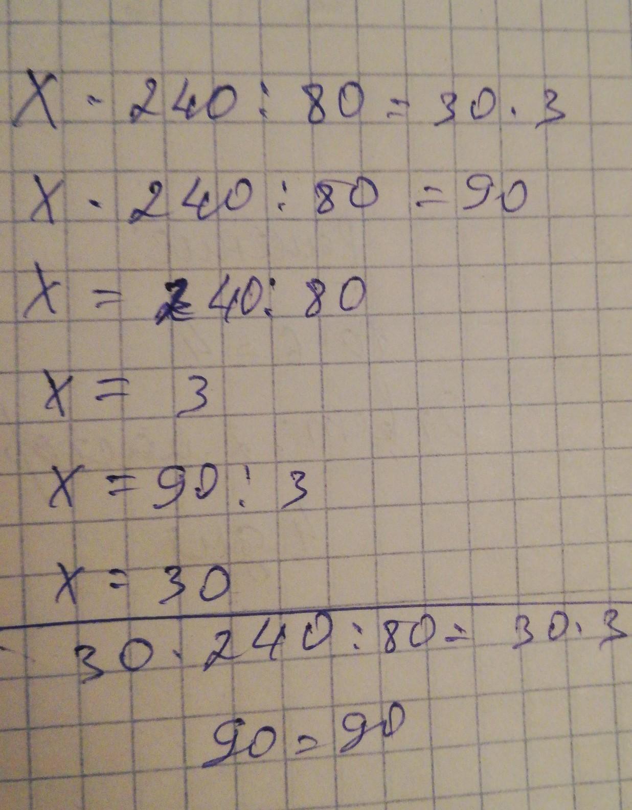
упрощаем
х•3=90
х=90:3
х=30
------------
30•3=90
90=90
Похожие вопросы
Предмет: Русский язык,
автор: kama19091978
Предмет: Русский язык,
автор: kmik2013
Предмет: Русский язык,
автор: nurmuz1
Предмет: Математика,
автор: samolet1239
Предмет: Окружающий мир,
автор: Artemh356