Предмет: Математика,
автор: vovamaiorov554
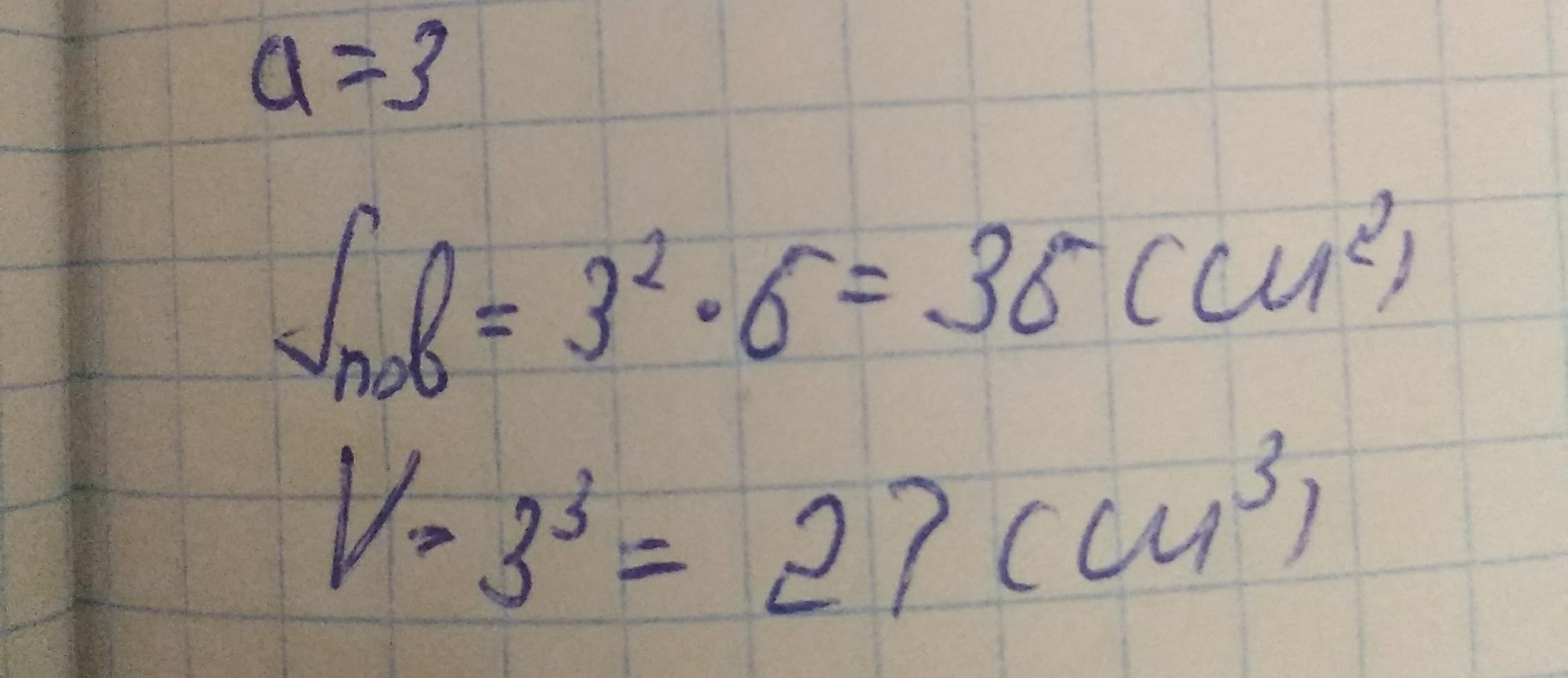
вычеслите объем и площадь поверхности куба с ребром 3 см
Ответы
Автор ответа:
0
,,,,,,,,,,,,,,,,,,,,,,,,,,,,,,,,,,
Приложения:
Автор ответа:
2
Дано:
a = 3 см
_______
V - ?
S - ?
Объём куба:
V = a³ = 3³ = 27 (см³) ;
Площадь поверхности куба:
S = 6 · a² = 6 · 3² = 6 · 9 = 54 (см²) .
Похожие вопросы
Предмет: Русский язык,
автор: MarseCake
Предмет: Другие предметы,
автор: Аноним
Предмет: Технология,
автор: serialoman1
Предмет: Математика,
автор: alina20062525