Предмет: Алгебра,
автор: grwtwjgufwe
Напишите пожалуйста всё на листке.
Даю 30 баллов.
Приложения:
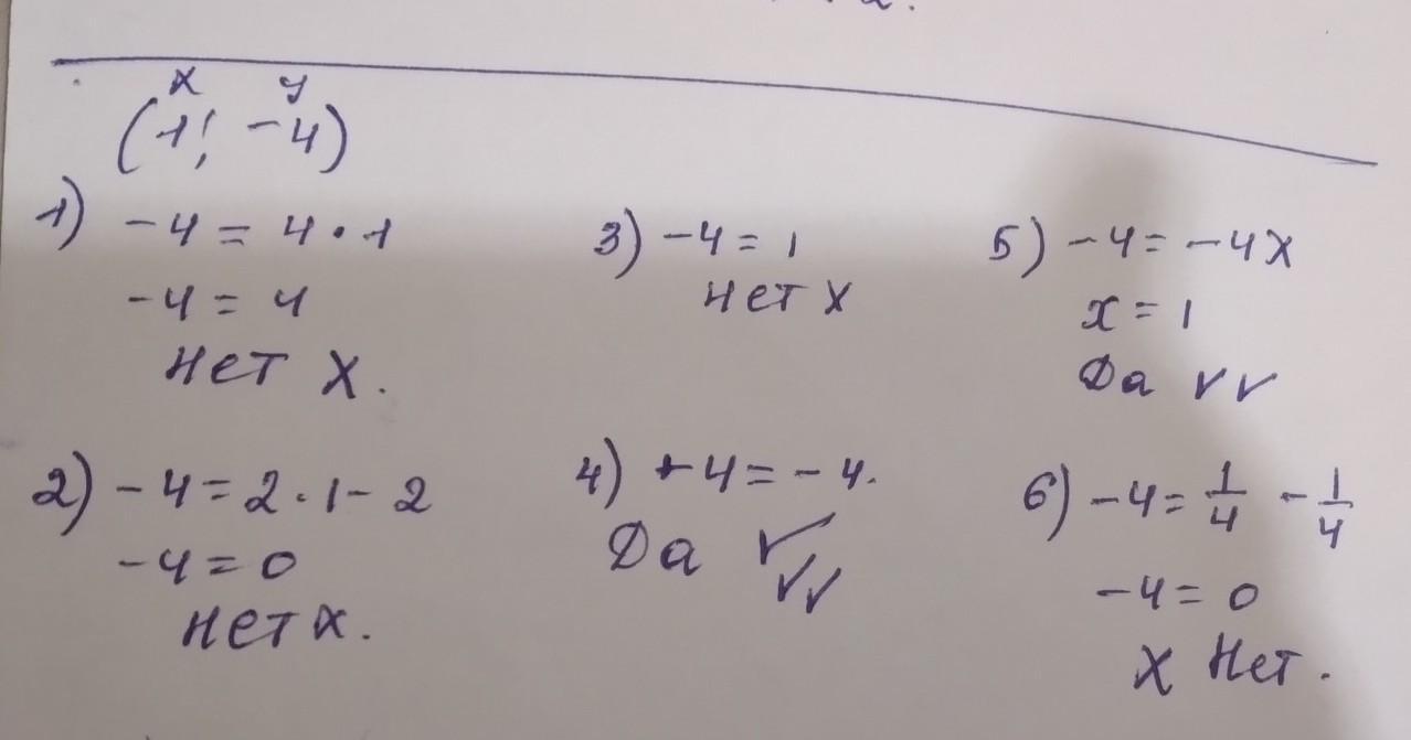
Ответы
Автор ответа:
1
Объяснение:
вот так вооооттттттттт
Приложения:
Похожие вопросы
Предмет: Технология,
автор: serialoman1
Предмет: Русский язык,
автор: лисичка20061
Предмет: Русский язык,
автор: sauleshka3
Предмет: История,
автор: mari7932
Предмет: Математика,
автор: TSLSL