Предмет: Алгебра,
автор: Delecto
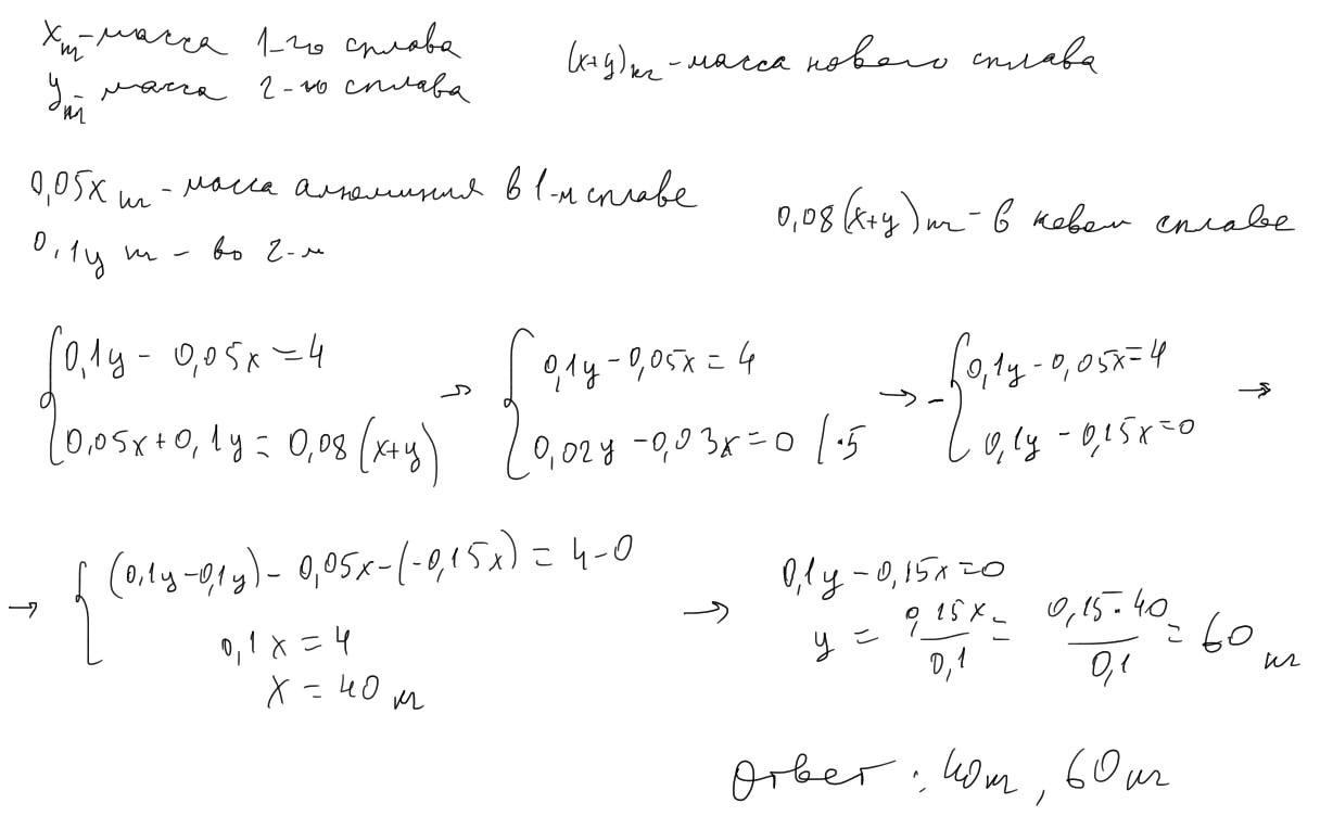
имеются два сплава, один из которых содержит 5% алюминия, а другой 10% алюминия. сколько взяли каждого сплава для получения нового сплава, содержащего 8% алюминия, если известно, что взятая для переплавки часть второго сплава содержала на 4 кг больше алюминия, чем часть первого сплава?
Ответы
Автор ответа:
1
Ответ:
40кг, 60кг
Объяснение:
Приложения:
Похожие вопросы
Предмет: Русский язык,
автор: Natasha307438
Предмет: Русский язык,
автор: соня848
Предмет: Русский язык,
автор: азим07
Предмет: Русский язык,
автор: shuric2006
Предмет: Українська література,
автор: feya301986ovx50w