Предмет: Алгебра,
автор: tovetpros
СРОЧНО, УМОЛЯЮ, ЧЕРЕЗ ПОЛЧАСА СПРОСЯТ УЖЕ ГОТОВОЕ
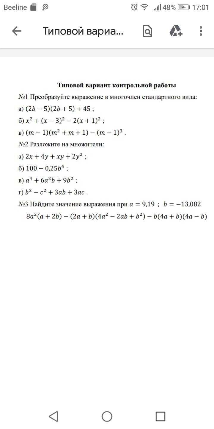
Алгебра, 7 класс, решить номер 1,заранее ОГРОМНОЕ СПАСИБО!!
Приложения:
Ответы
Автор ответа:
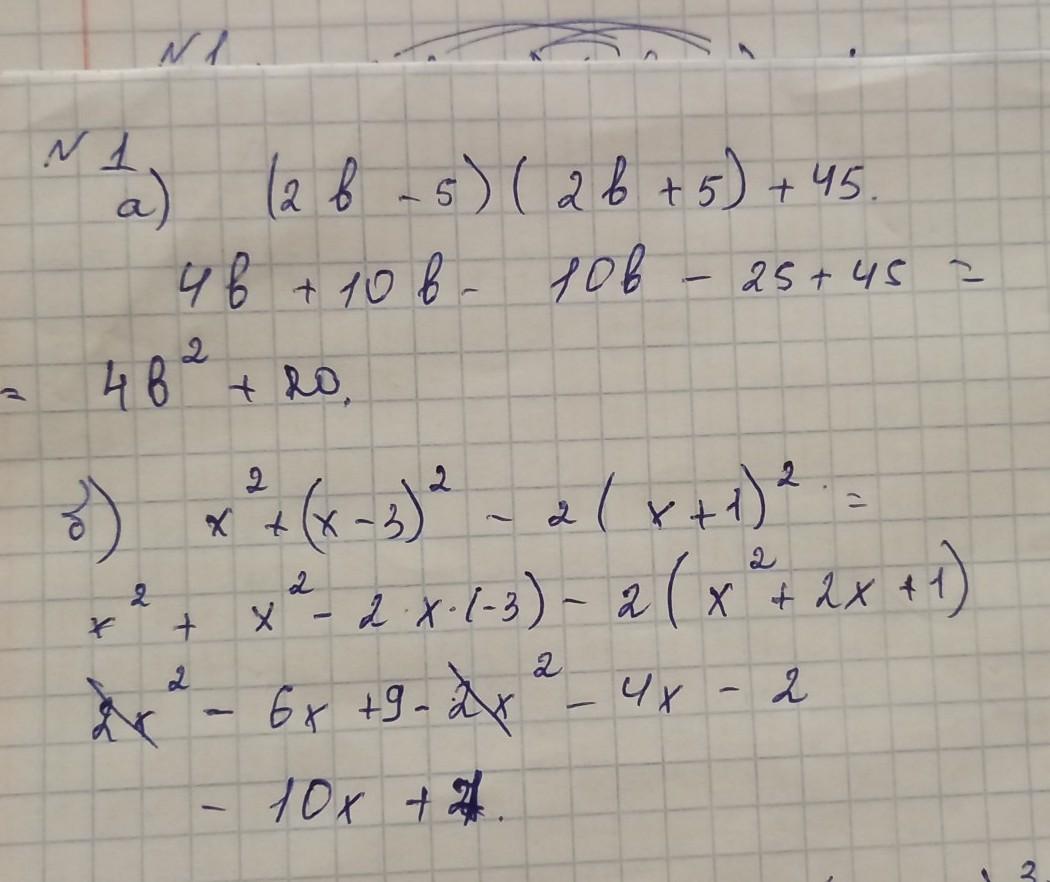
1
Ответ:
в) не получается .ответ не сходится .
Приложения:
Похожие вопросы
Предмет: Русский язык,
автор: mrneckrasof
Предмет: Русский язык,
автор: Maksim00511
Предмет: Окружающий мир,
автор: ЛизаКэт1
Предмет: Математика,
автор: alnavaycwbayt
Предмет: Русский язык,
автор: ivandybrovski24