Предмет: Алгебра,
автор: snitchgenius
Помогите с примерами по тригонометрии пожалуйста.
Приложения:
Ответы
Автор ответа:
2
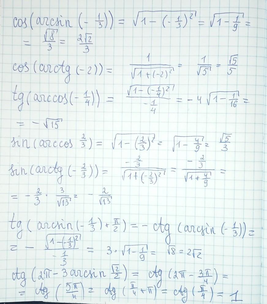
Ответ:
решение на фото
Объяснение:
Приложения:
snitchgenius:
Спасибо
Похожие вопросы
Предмет: Русский язык,
автор: данил1107
Предмет: Окружающий мир,
автор: agx555
Предмет: Русский язык,
автор: Вишня74
Предмет: Геометрия,
автор: Аноним
Предмет: Русский язык,
автор: jhfjhjdjyfg