Предмет: Алгебра, автор: drahancuksofijka

(x²-5)(x²+5) будь ласка буде потрібно

Ответы

Автор ответа: Аноним
0

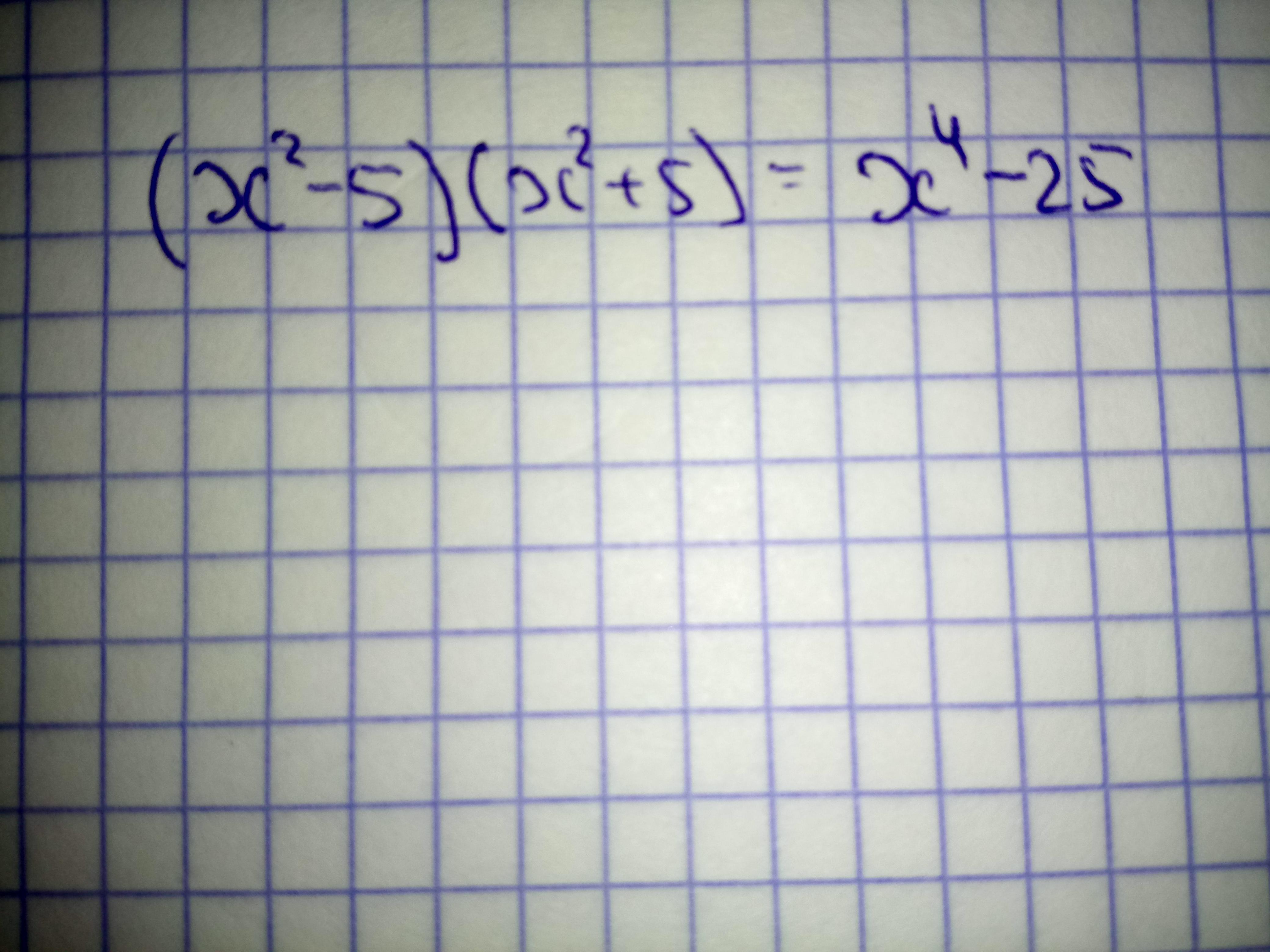
Ответ:

Объяснение:

Фото

Приложения:
Автор ответа: FbifMillenium
0

Ответ:

Використовуємо одну з формул скороченого множення - формулу різниці квадратів:  (a-b)*(a+b)=a^{2} -b^{2} :

(x^{2} )^{2} -5^{2} =x^{2*2}-25=x^{4}-25.

Похожие вопросы
Предмет: Русский язык, автор: 000143
Предмет: Русский язык, автор: Xoрoшистка
Предмет: Английский язык, автор: millamalinina