Предмет: Алгебра,
автор: zabinakatrina
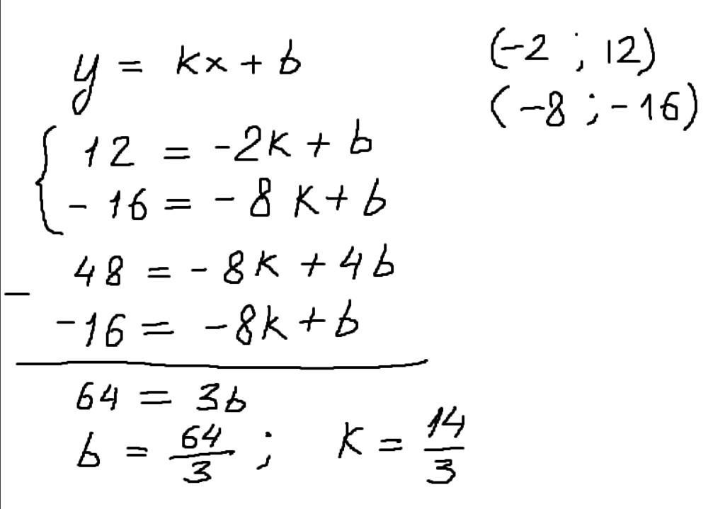
В1. Найдите значения k и b, если известно, что график функции
у=kx+b проходит через точки D(-2; 12) и B(-8; -16).
Ответы
Автор ответа:
1
Подставляешь точки и получаешь систему уравнений.
Приложения:
Похожие вопросы
Предмет: Английский язык,
автор: rohlec
Предмет: Русский язык,
автор: Аноним
Предмет: Беларуская мова,
автор: sardasheva
Предмет: Математика,
автор: tropikova
Предмет: Английский язык,
автор: kdkajdkakrkw