Предмет: Математика,
автор: arstanbekovanazik9
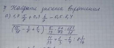
Срочно!!!!!!!найдите значение выражения дам 30 баллов, подпишусь 5 звёзд, лайк поставлю, и сделаю лучшим ответом
Приложения:
Ответы
Автор ответа:
1
Пошаговое объяснение:
Все на фото
Приложения:
arstanbekovanazik9:
спасибо большое
Похожие вопросы
Предмет: Английский язык,
автор: нет12341
Предмет: Русский язык,
автор: лука48
Предмет: Английский язык,
автор: asasha20044
Предмет: Алгебра,
автор: shamil1643