Предмет: Алгебра,
автор: svorsin13
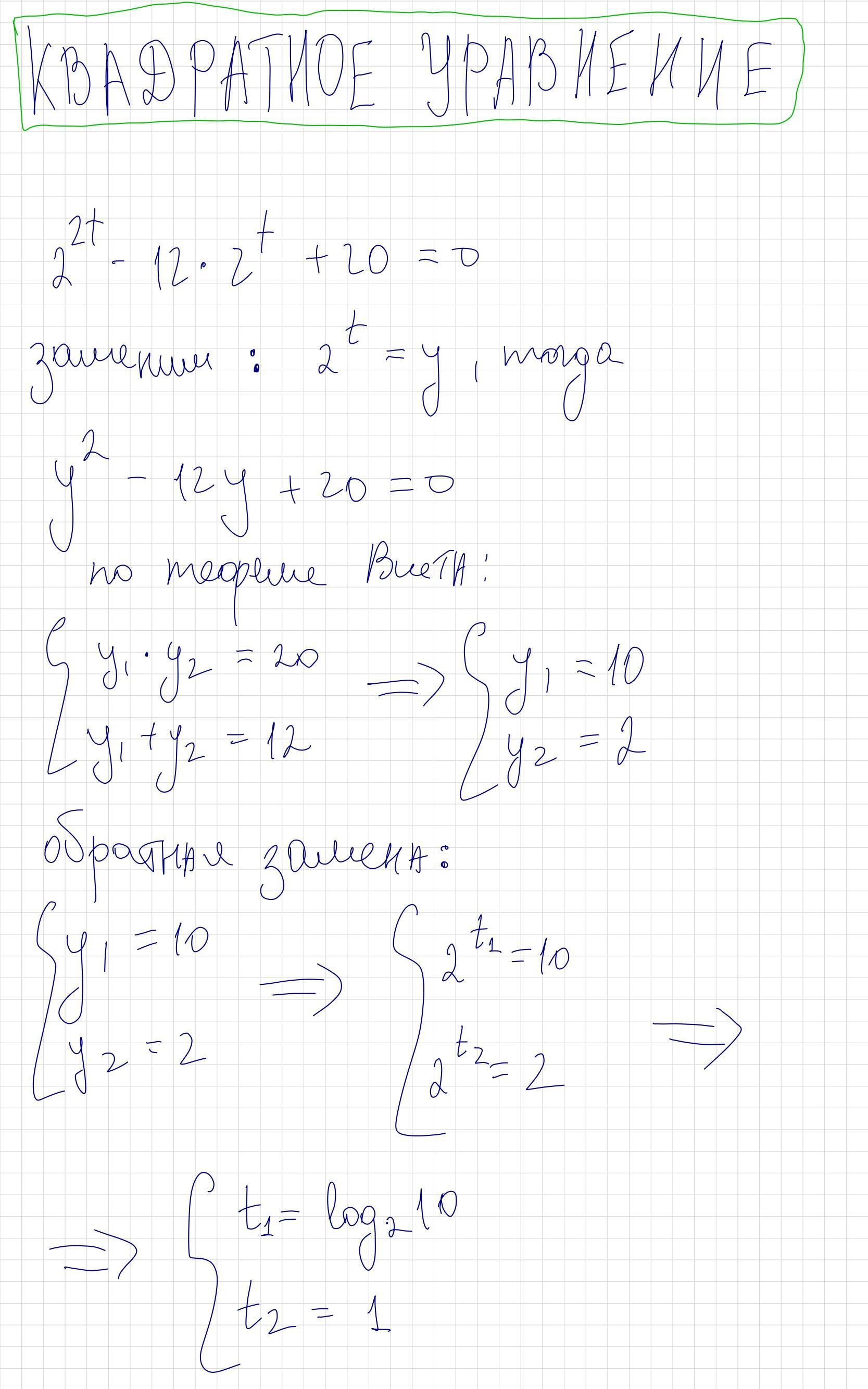
Решите задание с ответами вместо пропусков на фото. 12^t-12×6^t+20×3^t=0
Приложения:
Ответы
Автор ответа:
1
Поделим все на 3^t и 2^t обозначим за у
1*у^2-12*y+20=0
y^2-12y+36=16 (y-6)^2=4^2
y1=2 y2=10
x1=1
x2=log2(10) логарифм по основанию 2 от 10.
Автор ответа:
1
Решение во вложениях
Приложения:
Похожие вопросы
Предмет: Английский язык,
автор: Аноним
Предмет: Русский язык,
автор: Нилить
Предмет: Технология,
автор: Абдумиш
Предмет: Английский язык,
автор: CRANBERRY576M