Предмет: Алгебра,
автор: milipops14
помогите пожалуйста, надо сделать оба примера) заранее спасибо :)
Приложения:
Ответы
Автор ответа:
1
Ответ:
Извиняюсь за почерк
Можно лучший ответ пожалуйста()
Приложения:
parus77:
в первом примере 97*53,а ты решил 97-53.исправляй все решение.
простите за мою невнимательность, я исправила
дайте лучший ответ пожалуйста ((((((...
Автор ответа:
1
Ответ:
Объяснение:
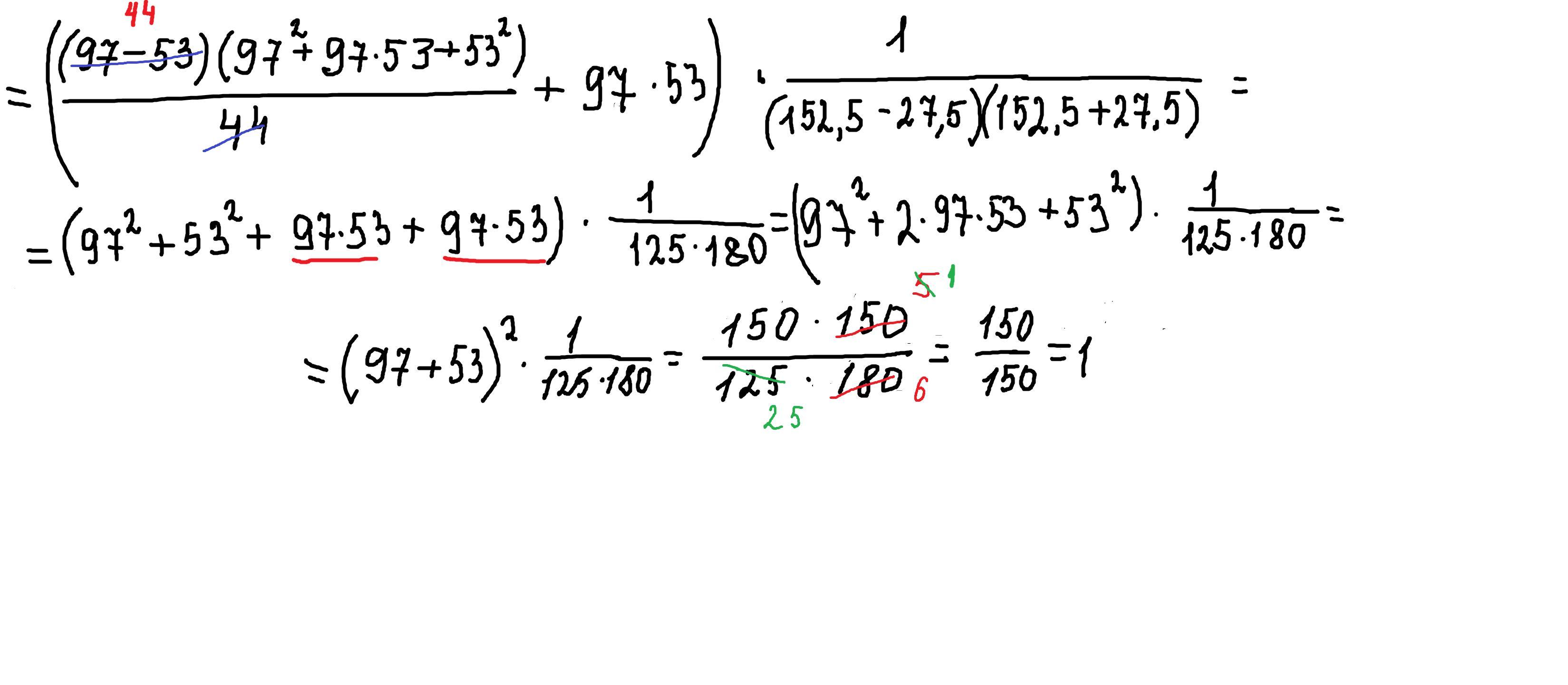
решение рациональным способом внизу
при решении применяем формулы а³-в³=(а-в)(а²+ав+в²)
а³+в³=(а+в)(а²- ав+в²) и а²-в²=(а-в)(а+в)
Приложения:
Похожие вопросы
Предмет: Окружающий мир,
автор: evgeni81
Предмет: Английский язык,
автор: шиншиллёнок
Предмет: Английский язык,
автор: Р1т2
Предмет: Математика,
автор: esmiraaliyeva2014
Предмет: Математика,
автор: Nika9212