Предмет: Математика, автор: SadJester

Упростите выражение. Помогите с заданием,срочно нужно. заранее спасибо)) ​

Приложения:

Ответы

Автор ответа: zhabakoshka
2

Ответ:

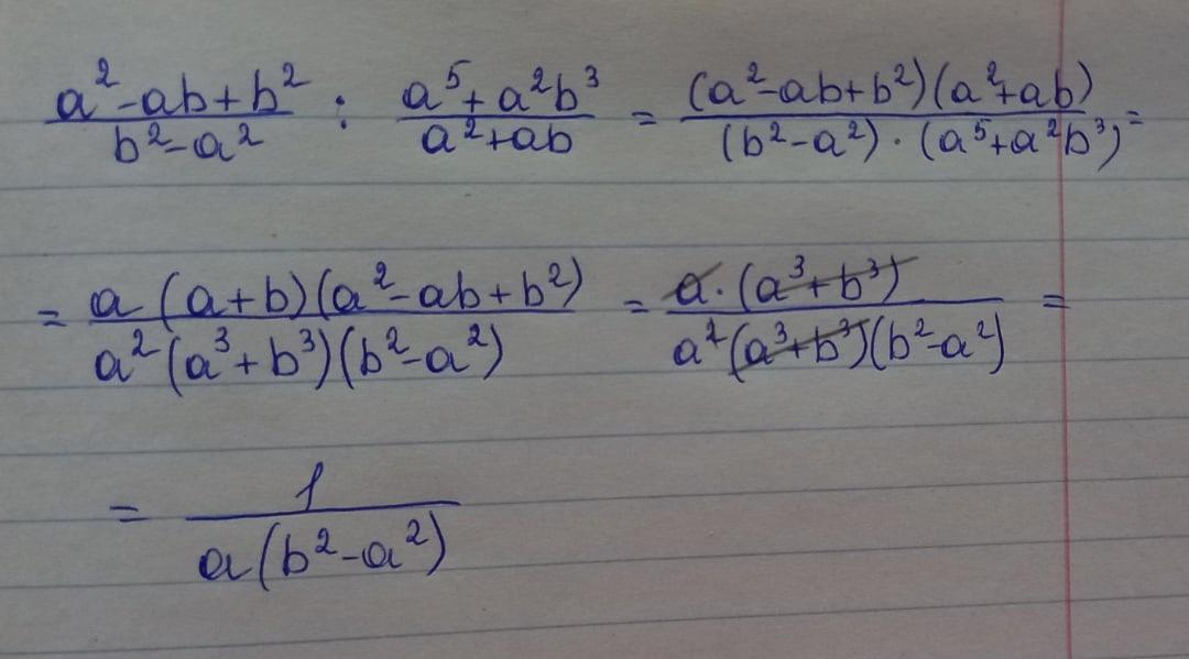
Все на фото

Пошаговое объяснение:

Приложения:

SadJester: огромное спасибо вам)))
zhabakoshka: пожалуйста)
Автор ответа: sergeevaolga5
1

Ответ:

B)\frac{1}{a(b^2-a^2)}

Пошаговое объяснение:

\frac{a^2-ab+b^2}{b^2-a^2}:\frac{a^5+a^2b^3}{a^2+ab}=\frac{a^2-ab+b^2}{(b-a)(b+a)}:\frac{a^2(a^3+b^3)}{a(a+b)}=\frac{a^2-ab+b^2}{(b-a)(b+a)}*\frac{a(a+b)}{a^2(a+b)(a^2-ab+b^2)}=\\\\=\frac{1}{a(b+a)(b-a)}=\frac{1}{a(b^2-a^2)}

***************************************************************

b^2-a^2=(b-a)(b+a)\\a^3+b^3=(a+b)(a^2-ab+b^2)


SadJester: спасибо большое)))
sergeevaolga5: Пожалуйста))) Успехов)))
SadJester: взаимно))
Похожие вопросы
Предмет: Английский язык, автор: kostaignatenko53