Предмет: Информатика,
автор: Sulent
СРОЧНО ПРОШУ ПОМОЧЬ
1. В равнобедренном треугольнике известны длины боковых сторон равные а и длина основания b. Составить блок-схему алгоритма вычисления площади треугольника.
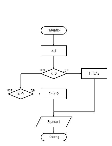
2. Составить блок-схему алгоритма вычисления значения функции f(x)
x², если х <0
f(x) =
2x, если х≥0
3. Составить блок-схему определения того, принадлежит ли точка х отрезку [a, b]
4. Составить блок-схему алгоритма вычисления суммы четных чисел от 1 до 55 включительно, т.е. S=2+4+….+52+54. Подсказка: так как S=2*(1+2+…+27), то достаточно найти сумму s всех чисел от 1 до 27 включительно, а затем удвоить полученный результат, то есть S=2*s (начальное присваивание s:=1, формула в цикле s:= s+n)
Ответы
Автор ответа:
2
На картинках
===========
Приложения:
Похожие вопросы
Предмет: Русский язык,
автор: МиковаНастя
Предмет: Русский язык,
автор: metelkinatg
Предмет: Английский язык,
автор: Kurijama
Предмет: Биология,
автор: Аноним
Предмет: Геометрия,
автор: katy161005