Предмет: Математика,
автор: kiselevpetr1812
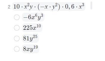
решите пожалуйста задание в прикреплённом файле
Приложения:
Ответы
Автор ответа:
1
Ответ:
Похожие вопросы
Предмет: Английский язык,
автор: probrabus
Предмет: Русский язык,
автор: shuhrat83
Предмет: Окружающий мир,
автор: Аноним
Предмет: Русский язык,
автор: rezovamaria08
Предмет: Українська мова,
автор: PelmenMelovina