Предмет: Математика,
автор: AlinaKumasheva
Решить уравнение К-2/5к=4, 5
Ответы
Автор ответа:
0
Ответ:
Пошаговое объяснение:
К-2/5к=4, 5
к- 0,4к= 4,5
0,6к= 4,5
к= 4,5 :0,6
к=7,5
Автор ответа:
0
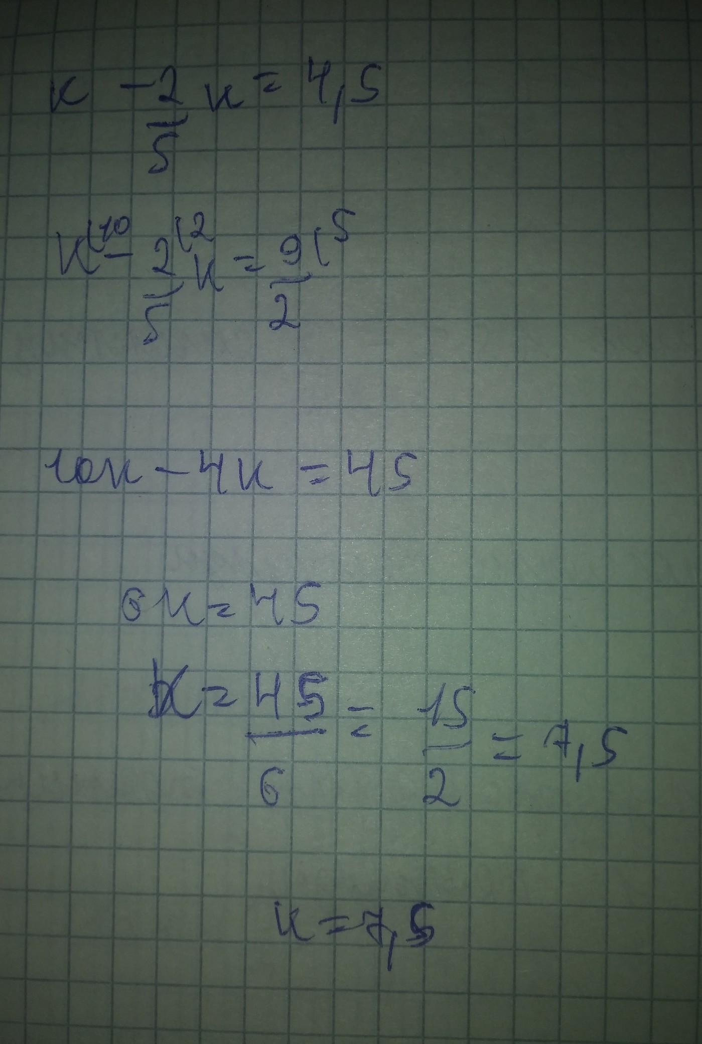
Ответ: на фото
Обьяснение
Приложения:
Похожие вопросы
Предмет: Английский язык,
автор: ярик269
Предмет: Русский язык,
автор: muradqasimov
Предмет: Русский язык,
автор: Аноним
Предмет: Қазақ тiлi,
автор: Нули111
Предмет: Математика,
автор: ray2006