Предмет: Математика,
автор: vladimirandreev11vov
Помогите с третьим заданием пж!
Приложения:
Ответы
Автор ответа:
0
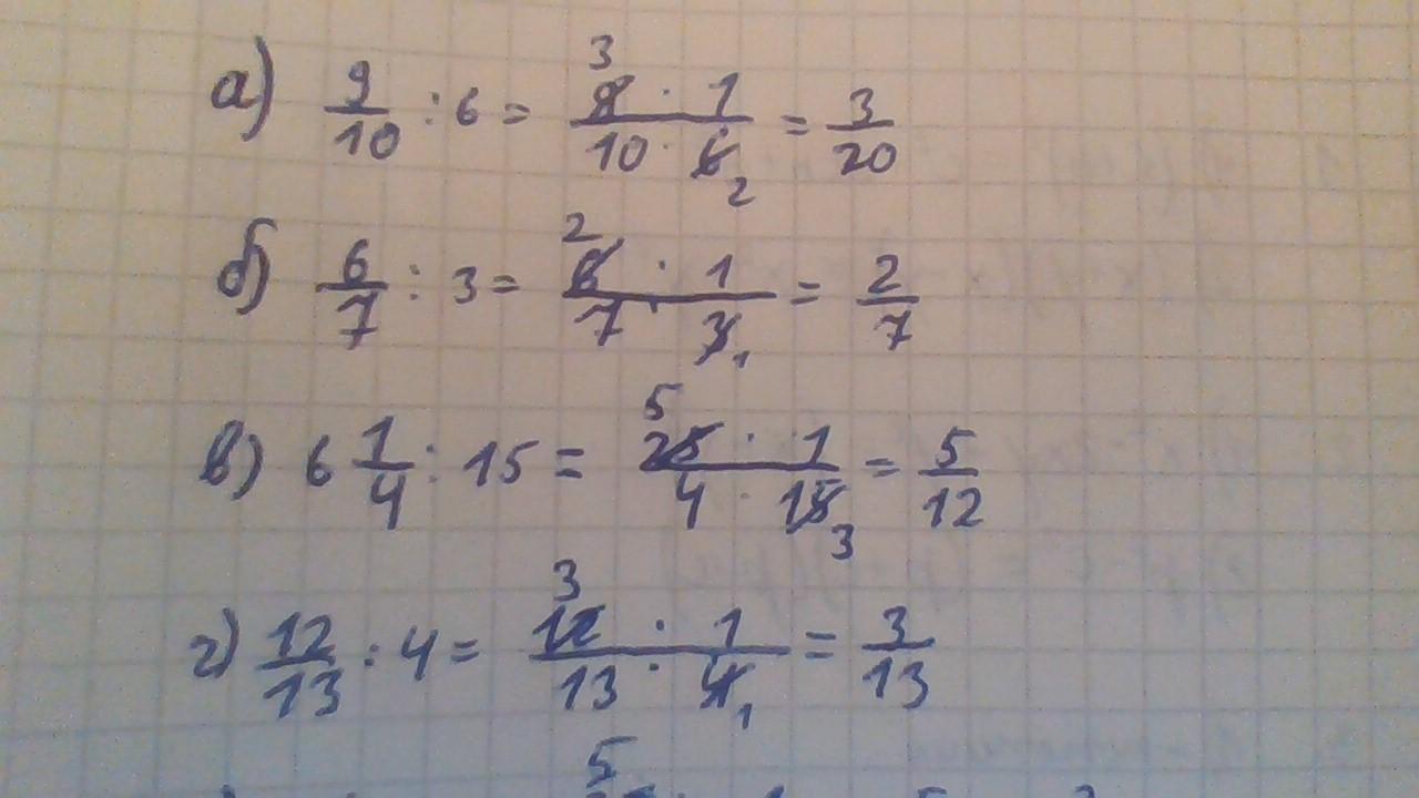
Ответ:
Пошаговое объяснение:
сейчас ещё докреплю, только, если что я просто решила эти примеры, если я неправильно поняла то, извините.
Приложения:
Похожие вопросы
Предмет: Русский язык,
автор: тураеваИрина
Предмет: Русский язык,
автор: Аноним
Предмет: Английский язык,
автор: KFrolova300
Предмет: Физика,
автор: shahlashahmuradova
Предмет: Физика,
автор: Соня2527