Предмет: Математика,
автор: ayazan4ik2009
помогите прошуу .срочно до завтра нкжно
Приложения:
Ответы
Автор ответа:
1
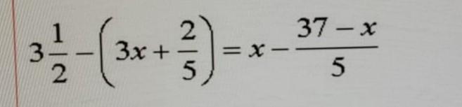
Ответ:
3 1/2 -(15x+2)/5 = (5x-37+x)/5
(35 - 30x -4)/5 = (6x-37)/5
31-30x = 6x-37
-36x =-68
x = 68/36 = 1 32/36 = 1 8/9
Пошаговое объяснение:
ayazan4ik2009:
спасибо огромное .но можно спросить НОК -30?
Похожие вопросы
Предмет: Русский язык,
автор: Максик2308
Предмет: Русский язык,
автор: домзадурок
Предмет: Русский язык,
автор: ЛизаКит
Предмет: Информатика,
автор: kekemne222
Предмет: Литература,
автор: selenor00