Предмет: Математика,
автор: polinkee
я не знаю что тут надо делать (un это и) я просто болею а тут такое ПОМОГИТЕ
Приложения:
onetfriend:
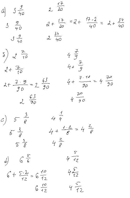
Привести к одному знаменателю
Ответы
Автор ответа:
1
Ответ:
Пошаговое объяснение:
Приложения:
Похожие вопросы
Предмет: Русский язык,
автор: про679
Предмет: Английский язык,
автор: AlHaliullina
Предмет: Русский язык,
автор: Дэнзиту
Предмет: Математика,
автор: Nast9nka
Предмет: ОБЖ,
автор: Kolesnikovdimik2015