Предмет: Математика,
автор: anya86698
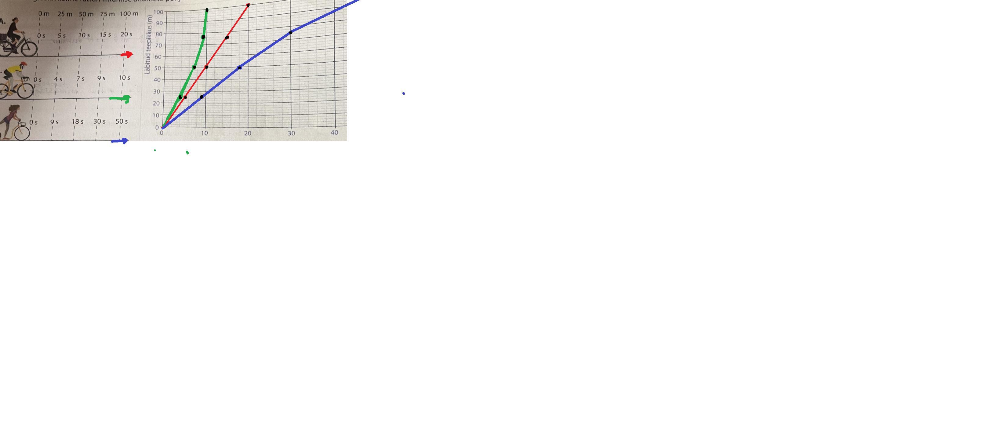
Помогите пожалуйста очень прошу умоляю тут надо нарисовать график на основе данных о движении трех гонщиков
Приложения:
trtrtt:
перефотографируй, пожалуйста, чтоб все было виднл
Хорошо
Все
Я заново кинула задание
Ответы
Автор ответа:
0
Ответ:
Пошаговое объяснение:
графики внизу
Приложения:
Похожие вопросы
Предмет: Русский язык,
автор: Ангелочек319
Предмет: Қазақ тiлi,
автор: Аноним
Предмет: Русский язык,
автор: Аноним
Предмет: Русский язык,
автор: Vero44ka
Предмет: Английский язык,
автор: gibewali