Предмет: Алгебра,
автор: xvimq
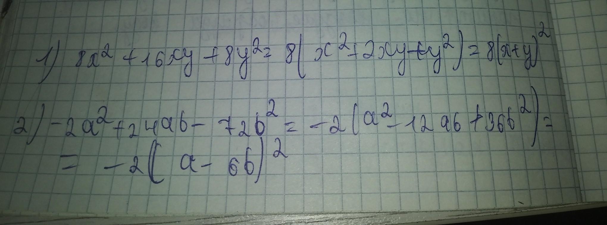
розкладіть на множники:1)8x²+16xy+8y²
2)-2a²+24ab-72b²
срочно!!!
Ответы
Автор ответа:
3
Ответ:
на фото
Обьяснение;
по формуле
(a+b)^2= a^+2ab+b^2
Приложения:
Похожие вопросы
Предмет: Русский язык,
автор: максим221332
Предмет: Русский язык,
автор: Антонка1
Предмет: Русский язык,
автор: пять15
Предмет: Информатика,
автор: 37525753111ban
Предмет: История,
автор: Lizaexol