Предмет: Алгебра,
автор: NikaFy
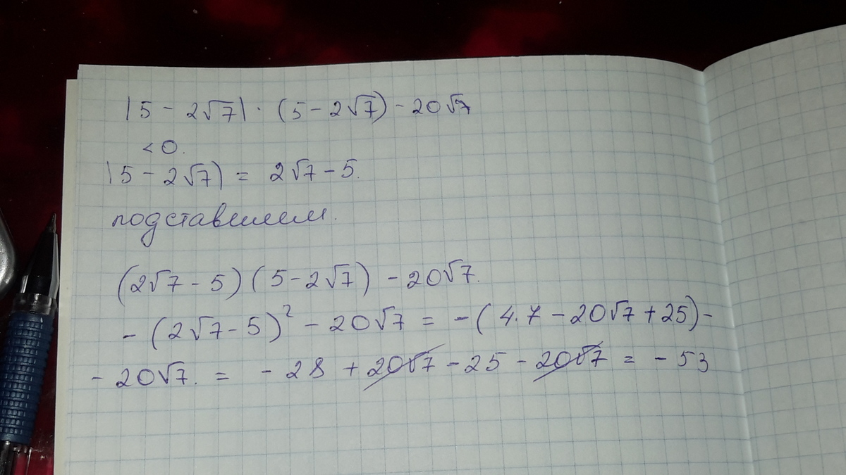
|5-2√7|×(5-2√7)-20√7 нужно решение с подробным объяснением
Ответы
Автор ответа:
0
""""""""""""""""""""""""""""
Приложения:
Похожие вопросы
Предмет: Английский язык,
автор: hzhdgdudg
Предмет: Математика,
автор: krapiva99
Предмет: Математика,
автор: an4oys04
Предмет: Химия,
автор: 456767890