Предмет: Математика, автор: roza88nur

пожалуйста помогите)))) ​

Приложения:

Ответы

Автор ответа: jekadva
1

Ответ:

Пошаговое объяснение:

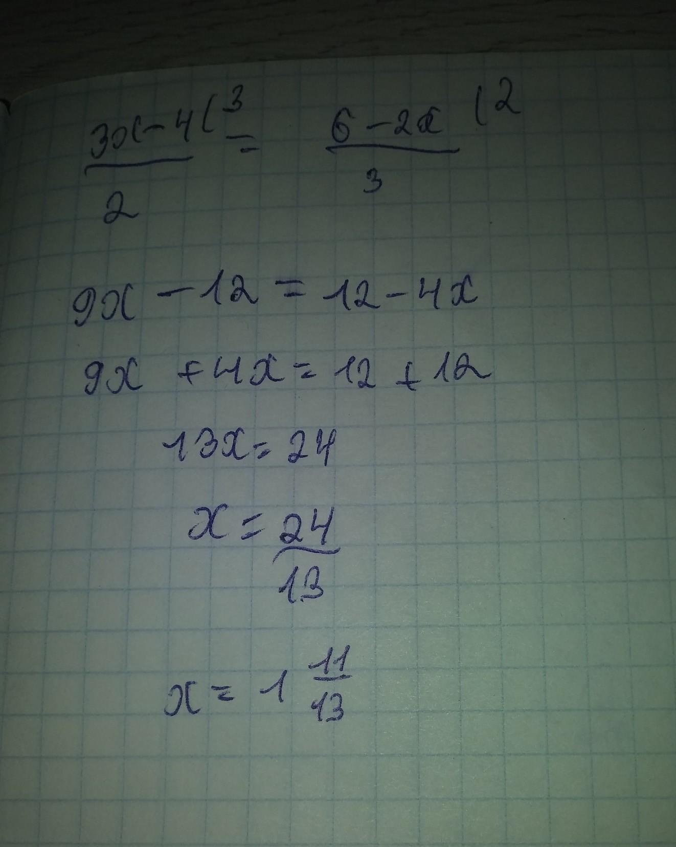
3*(3x - 4) = 2(6 - 2x)

9x - 12 = 12 - 4x

9x + 4x = 12 + 12

13x = 24

x = 24 : 13

x = 1 11/13


roza88nur: спасибо
jekadva: x = 1цел. 11/13
Автор ответа: aristoktararistokrat
1

Ответ:

на фото

Обьяснение

Приложения:
Похожие вопросы
Предмет: Английский язык, автор: 12345894
Предмет: Английский язык, автор: ti9mNastasy
Пожалуйста, можете перевести текст?
Совсем ничего не успеваю.

National sports in Great Britain... It is a very interesting question, because many kinds of sport have taken the origin in England. The Englishmen love sports, they are called sports-lovers in spite of the fact that some of them neither play games nor even watch them. They only like to speak about sports. Some kinds of sport are professional in England. Many traditional sporting contests take place in England, for example, cricket. It is played from May till September. This game is associated with England. There are many cricket clubs in this country. English people like to play cricket. They think that summer without cricket isn't summer. Cricket is the English national sport in summer. If you want to play cricket you must wear white boots, a white shirt and white long trousers. There are two teams. Each team has eleven players. Cricket is popular in boys' schools. Girls play cricket too. Football. It has got a long history. Football was played by the whole village teams in the middle ages in England. Now football is the most popular game in Britain. It is a team game. There are some amateur teams but most of the teams are professional ones in England. Professional football is a big business. Football is played at schools too. Rugby football. You can see a ball in this game, but it is not round. It is oval. This is a team game. There are fifteen players in each team. It is a popular game in England. There are many amateur rug-by football teams in this country. If we speak about football we can mention an American football too. It is a game that is played between two teams of players using an oval ball that can be handled or kicked. The captain of the team must be the oldest or best player. Table tennis or ping-pong. Englishmen heard about table tennis in 1880. Then the International Table Tennis Association was formed and the international rules were worked out. Many people like to play table tennis. This game is played by men and women. There are some tennis clubs in England, but if you play there it is necessary to pay money for it. Englishmen like playing tennis but many of them prefer to watch this game. Wimbledon. It is the centre of lawn tennis. Some years ago Wimbledon was a village, now it is a part of London. The most important tennis competition takes place there every summer. Englishmen pay much attention to swimming, rowing and walking. Usually the Oxford-Cambridge Boat Race takes place at the end of March or at the beginning of April. It is an interesting contest between the universities of Oxford and Cambridge. It is usually held on the Thames River. The first such race was held in 1820. There were a lot of people watching this race. There are some racing competitions in England. They are motor-car racing, dog-racing, donkey-racing, boat-racing, horse-racing. All kinds of racings are popular in England. It is interesting to see the egg-and-spoon race. The runner, who takes part in this competition, must carry an egg in a spoon. It is not allowed to drop the egg. We must speak about the Highland Games in Scotland. All competitors wear Highland dress. There are such competitions as putting the weight, tossing the caber and others. The English are great lovers of sports.