Предмет: Математика, автор: vikatakblet

Помогите пожалуйста!

Приложения:

Ответы

Автор ответа: bokachi38
1

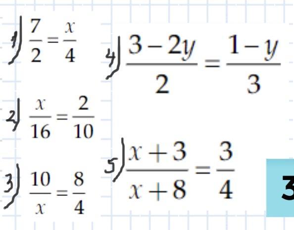
1)

 \frac{7}{2}  =  \frac{x}{4}  \\ 7 \times 4 = x \times 2 \\ 2x = 28 \\ x = 14

2)

 \frac{x}{16}  =  \frac{2}{10}  \\ x \times 10 = 2 \times 16 \\ 10x = 32 \\ x = 3.2

тут также можно записать как 3 1/5

3)

 \frac{10}{x}  =  \frac{8}{4}   \\ 10 \times 4 = 8 \times x \\ 8x = 40 \\ x = 5

4)

 \frac{3 - 2y}{2}  =  \frac{1 - y}{3}  \\ (3 - 2y) \times 3 = (1 - y) \times 2 \\ 9 - 6y = 2 - 2y \\  - 6y + 2y = 2 - 9 \\ 4y = 7 \\  y = 1.75

также можно записать как 1 3/4

5)

 \frac{x + 3}{x + 8}  =  \frac{3}{4}  \\ (x + 3) \times 4 = (x + 8) \times 3 \\ 4x + 12 = 3x + 24 \\ 4x - 3x = 24 - 12 \\ x = 12


vikatakblet: Спасибо!
Похожие вопросы
Предмет: Русский язык, автор: Vadeeman