Предмет: Математика,
автор: brnnsk1975
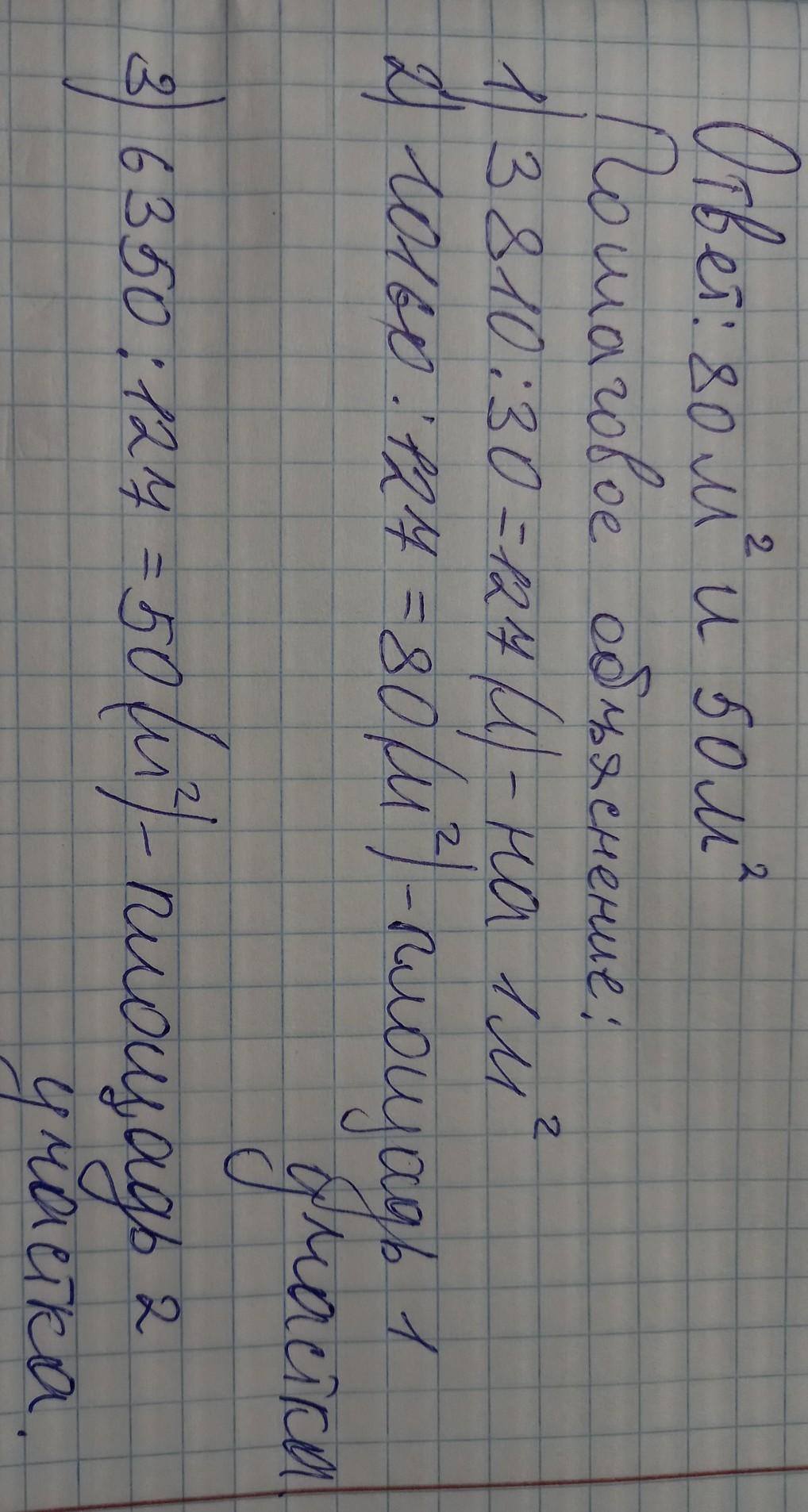
На двух участках высадили луковицы тюльпанов. Один участок больше другого на 30 м2, поэтому на нём вы- садили 10 160 луковиц, а на другом — 6 350. Найди площадь каждого участка, если на каждом квадратном метре высаживали одинаковое количество луковиц.❗❗НУЖНО ТОЛЬКО КАК ОФОРМИТЬ РЕШЕНИЕ ЕСТЬ❗❗
brnnsk1975:
друзья мне не надо ответ мне надо условия
Ответы
Автор ответа:
0
Вроде всё правильно:)
Если есть вопросы- задавай, потому что сомневаюсь, что мой подчерк понятный))
Приложения:
Сказали же, решение есть.
Похожие вопросы
Предмет: Українська література,
автор: Mixail2085
Предмет: Английский язык,
автор: nastinenko
Предмет: Русский язык,
автор: НацуЛюси
Предмет: Математика,
автор: Аноним
Предмет: Математика,
автор: Ксюша5589