Предмет: Математика,
автор: baturinaulana6
помогите это все решить
Приложения:
Ответы
Автор ответа:
0
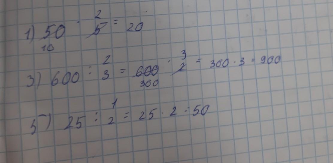
Ответ:
Пошаговое объяснение:
50 * 2/5 = 100/5 = 20
600 * 1/5 = 600/5 = 120
600 : 2/3 = 600 * 3/2 = 1800/2 = 900
25 : 1/2 = 25 * 2 = 50
Автор ответа:
0
Пошаговое объяснение:
4 не поняла что там нужно и 2 я так поняла вы уже решили
Приложения:
Похожие вопросы
Предмет: Русский язык,
автор: vivaldy123777
Предмет: Английский язык,
автор: 2003abramov2003
Предмет: Немецкий язык,
автор: FOXlKISS
Предмет: Математика,
автор: Laraenn
Предмет: Алгебра,
автор: Аноним