Предмет: Алгебра,
автор: nikitakorolev2048
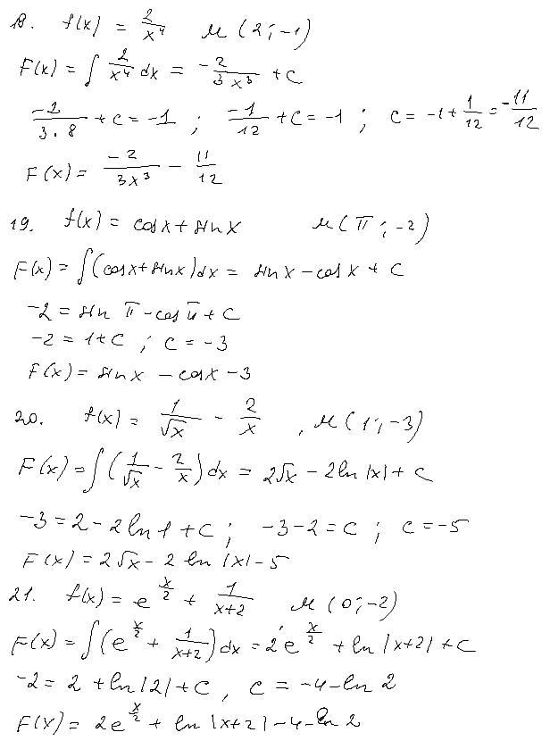
Найти первообразную в точке м
Приложения:
Ответы
Автор ответа:
0
Ответ:
Объяснение:
на листочке
Приложения:
Похожие вопросы
Предмет: Русский язык,
автор: Аноним
Предмет: Русский язык,
автор: анеля43
Предмет: Английский язык,
автор: fillan
Предмет: Русский язык,
автор: janna268307
Предмет: География,
автор: мензер