Предмет: Алгебра, автор: firuza2287

1 2 3 4 5.плиз помогите​

Приложения:

Ответы

Автор ответа: MagdaSinger
1

Ответ:

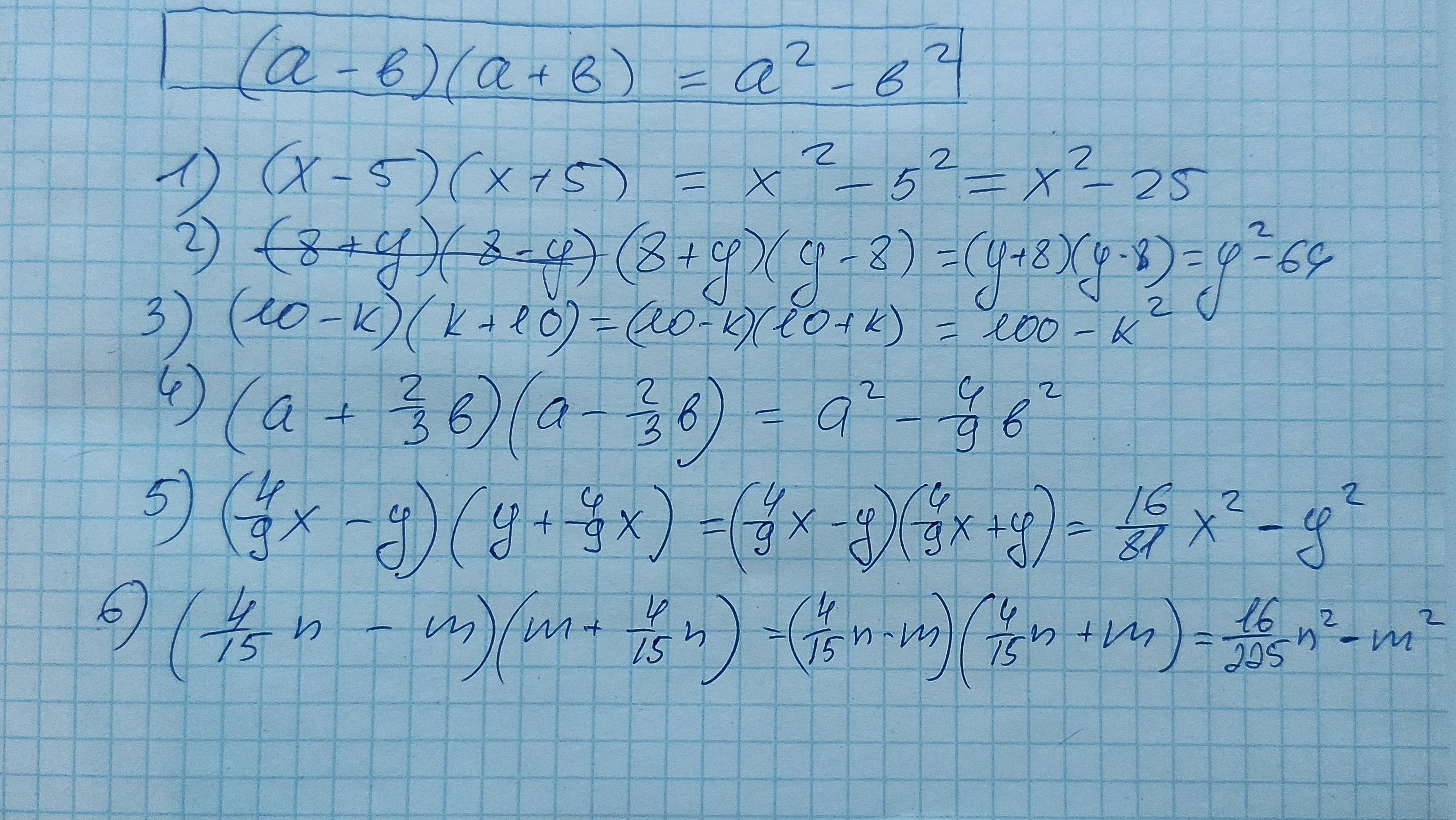
( x-5 )( 5+x)   =5x+x ^2-25-5x=x^{2} -25\\ (8+y)(y-8) =8y-64+y ^2-8y=y ^2-64\\ (10-k)(k+10) =10 ^2-k ^2=100-k ^2\\ (a+ \dfrac{ 2  }{ 3  }  b)(a- \dfrac{ 2  }{ 3  }  b) =a^2- (\dfrac{ 2  }{ 3  }  b)^2=a^2-\dfrac{ 4  }{ 9 }  b^2\\ ( \dfrac{ 4  }{ 9  }  x-y)(y+ \dfrac{ 4  }{ 9  }  x) =(\dfrac{ 4  }{ 9 }  x)^2-y^2=\dfrac{ 16  }{ 81 }  x^2-y^2

Объяснение:


firuza2287: спасибо большое
Автор ответа: arsik32
1

Всё на фото..........

Приложения:
Похожие вопросы
Предмет: Русский язык, автор: anushkatadevos