Предмет: Алгебра, автор: sestopalovmaksim419

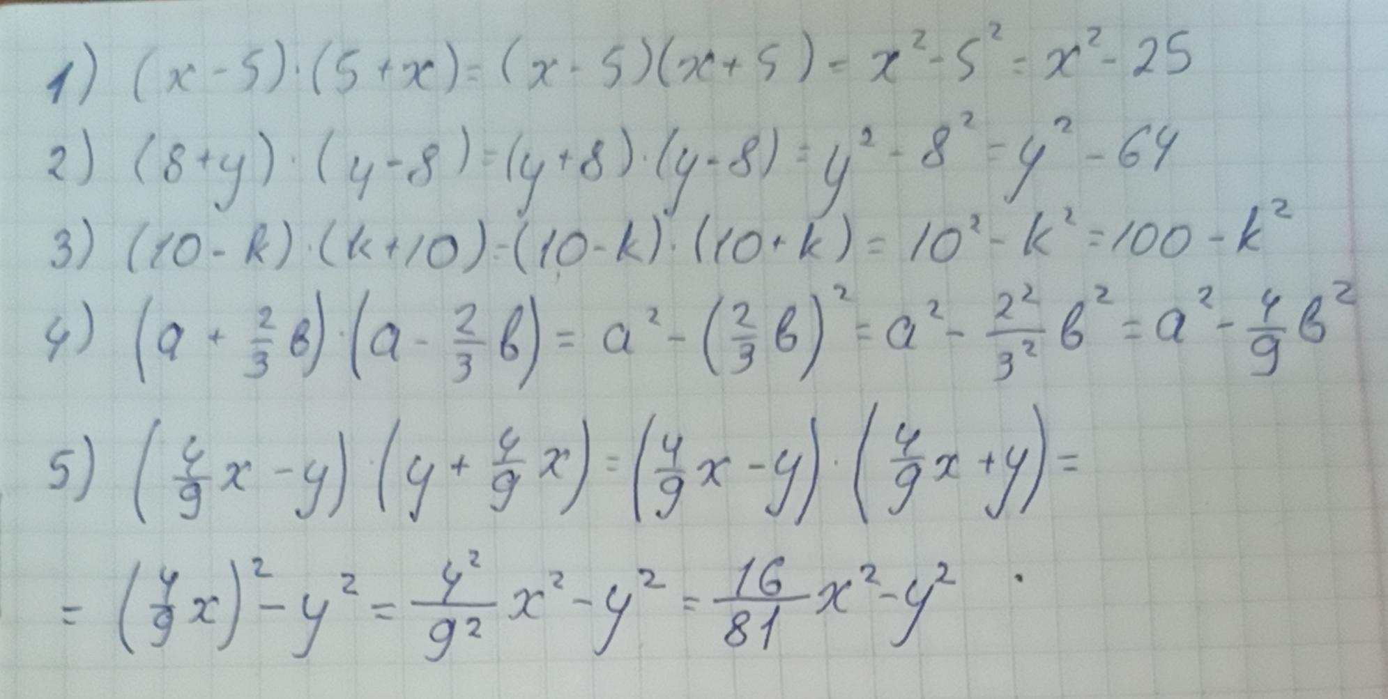
31.2. Выполните действие: 1) (x - 5)(5 + x); 2) (8 +y)(y - 8); 3) (10-k)(k+ 10); 4) (a + 2а - 2; 3 3 дам 50 балов​

Приложения:

Ответы

Автор ответа: MagdaSinger
2

Ответ:

( x-5 )( 5+x)   =5x+x ^2-25-5x=x^{2} -25\\ (8+y)(y-8) =8y-64+y ^2-8y=y ^2-64\\ (10-k)(k+10) =10 ^2-k ^2=100-k ^2\\ (a+ \dfrac{ 2  }{ 3  }  b)(a- \dfrac{ 2  }{ 3  }  b) =a^2- (\dfrac{ 2  }{ 3  }  b)^2=a^2-\dfrac{ 4  }{ 9 }  b^2\\ ( \dfrac{ 4  }{ 9  }  x-y)(y+ \dfrac{ 4  }{ 9  }  x) =(\dfrac{ 4  }{ 9 }  x)^2-y^2=\dfrac{ 16  }{ 81 }  x^2-y^2

Объяснение:


sestopalovmaksim419: спасибо
Автор ответа: 7julija7
1

Відповідь:

Пояснення: Применим переставное свойство сложения (от перестановки слагаемых сумма не изменяется) и формулу разности квадратов (а - в)•(а - в) = а^2 - в^2

Приложения:

sestopalovmaksim419: спасибо
Похожие вопросы
Предмет: Английский язык, автор: bocarevabahs