Предмет: Алгебра,
автор: michiepetrovabts
помогите пожалуйста с заданием
Приложения:
Ответы
Автор ответа:
1
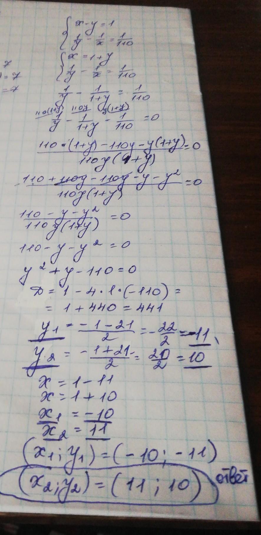
Ответ:11;10
Смотри решение на фото...
Приложения:
larisaserova53:
Ответ подошёл?
да, спасибо
хорошо тогда!
Похожие вопросы
Предмет: Окружающий мир,
автор: 08012008
Предмет: Английский язык,
автор: гкравг
Предмет: Другие предметы,
автор: rabis121
Предмет: Другие предметы,
автор: M1BRAS
Предмет: Алгебра,
автор: ilnaz123456789