Предмет: Алгебра,
автор: Musalenin
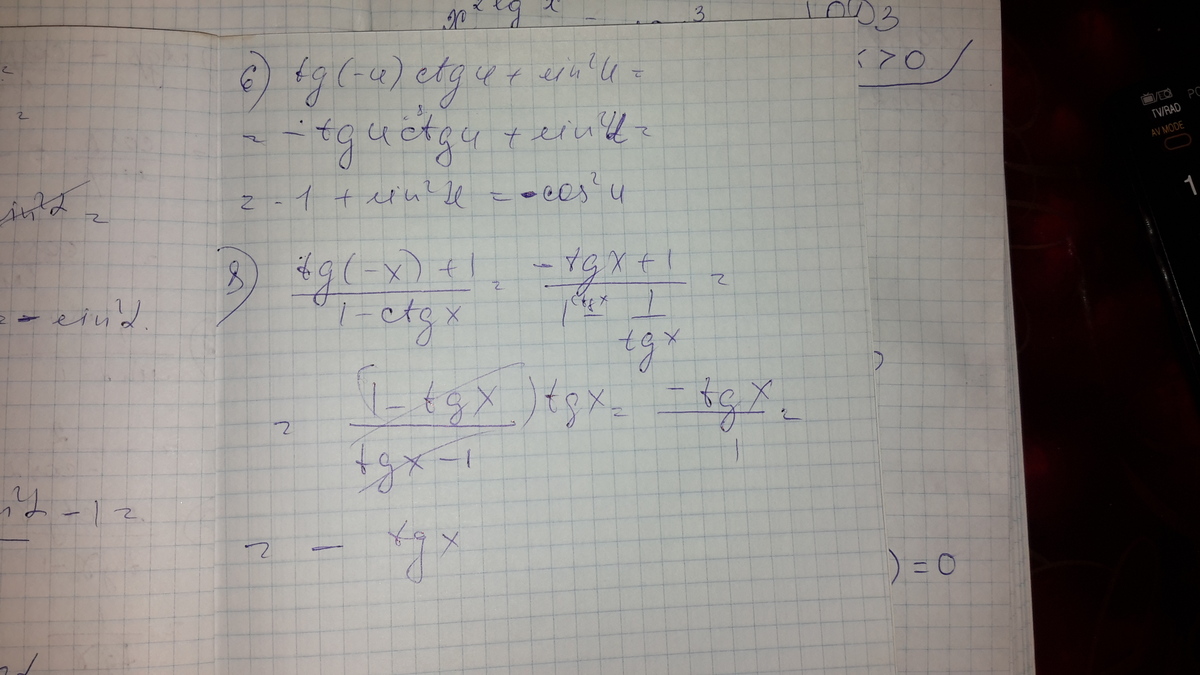
422 и 423 вторые столбики решение
Приложения:
Ответы
Автор ответа:
0
""""""""""""""""""""""""""""""""""""""
Приложения:
Похожие вопросы
Предмет: Русский язык,
автор: Olgabalobanova
Предмет: Қазақ тiлi,
автор: zhenishanaizere
Предмет: Алгебра,
автор: samansurovan
Предмет: Математика,
автор: Elizaveta200
Предмет: Математика,
автор: Ксения2005