Предмет: Математика,
автор: Sweet123456654321
Помогите, пожалуйста, решить. Тема: "Выражения и их преобразования"
Приложения:
Ответы
Автор ответа:
1
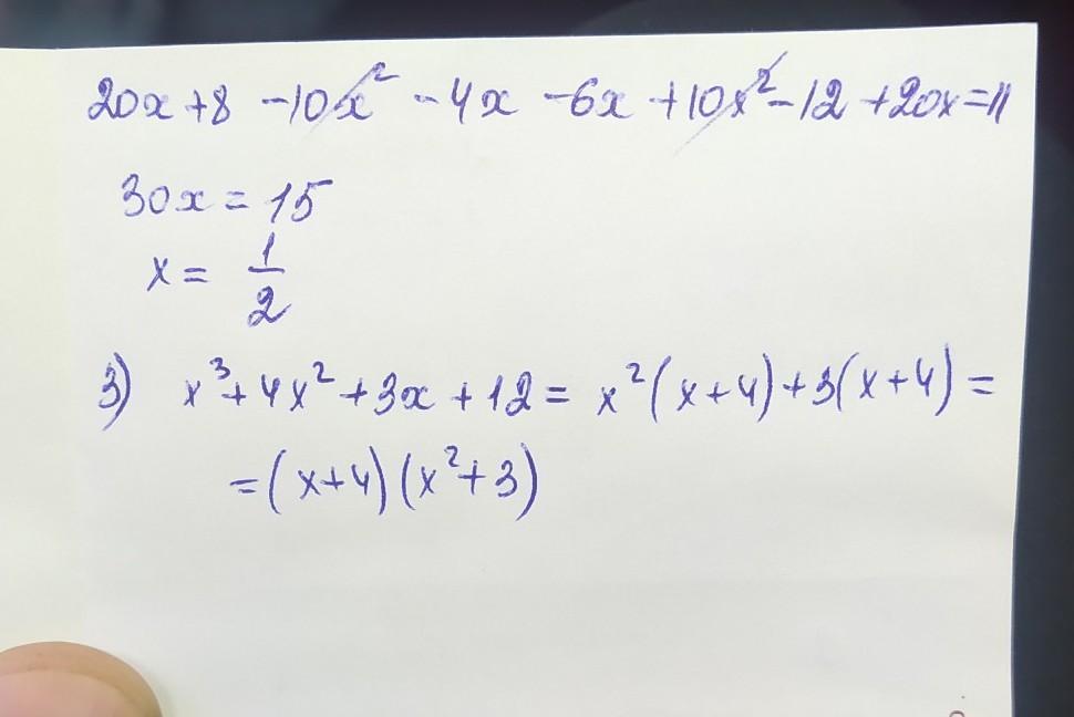
Ответ:
всё подробно решено на фото
Приложения:
Похожие вопросы
Предмет: Русский язык,
автор: тас12
Предмет: Русский язык,
автор: lanaabraeva
Предмет: Русский язык,
автор: 03216544
Предмет: Математика,
автор: Аноним
Предмет: История,
автор: ReGiNaVoLk01