Предмет: Алгебра,
автор: irunkaretro
СРОЧНО СРОЧНО ДАЮ 15 БАЛІВ
ПРИКРІПИЛА ФОТО ХЕЛП
Приложения:
Ответы
Автор ответа:
1
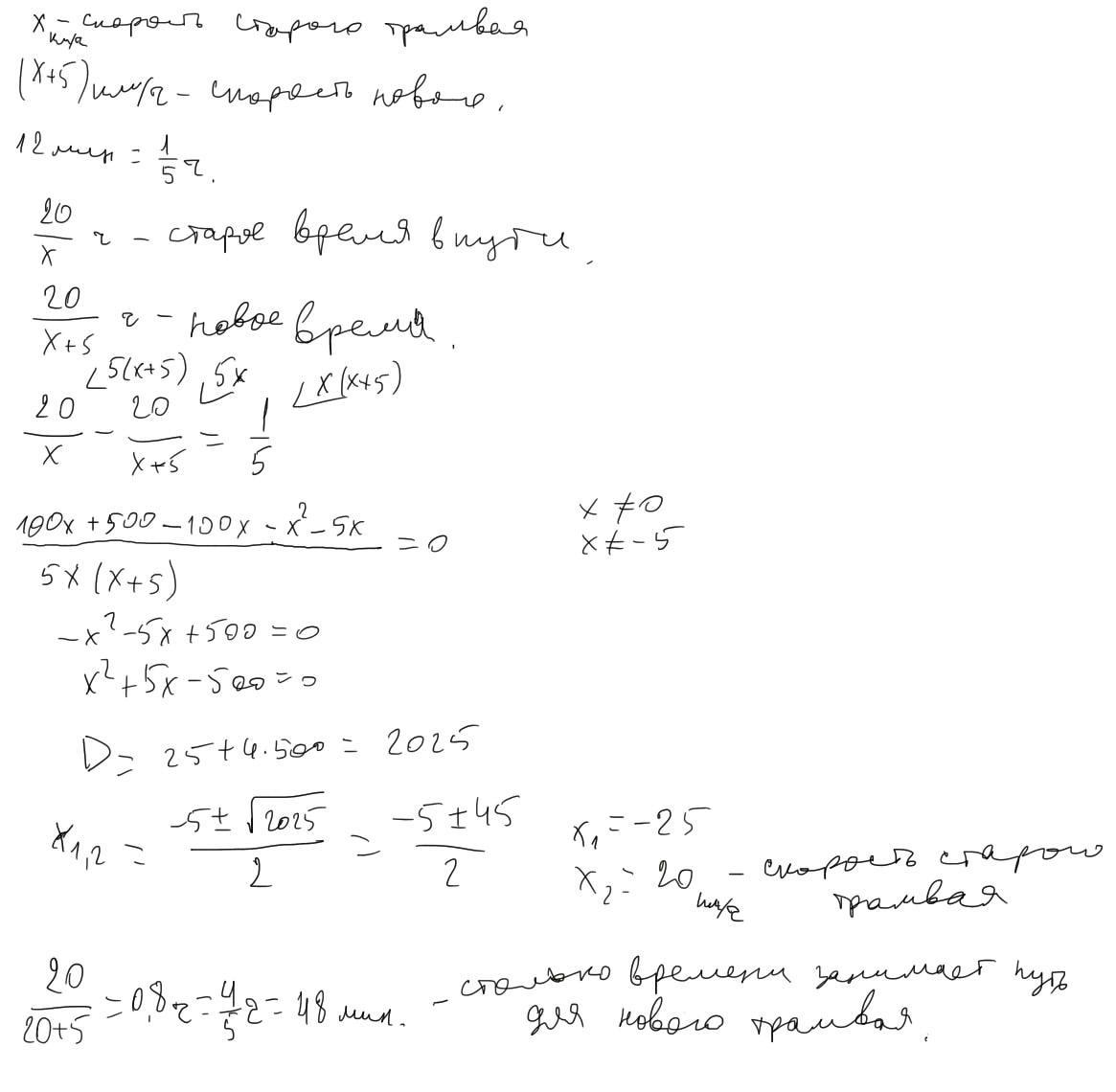
Ответ:
48 мин.
Объяснение:
Приложения:
Похожие вопросы
Предмет: Русский язык,
автор: мира174
Предмет: Русский язык,
автор: Аноним
Предмет: Английский язык,
автор: AppleAngelinka
Предмет: Русский язык,
автор: Екатерина2412
Предмет: Қазақ тiлi,
автор: умка5551