Предмет: Математика,
автор: lxvchxnko
30 балов срочно Математика 11 класс
Приложения:
Ответы
Автор ответа:
1
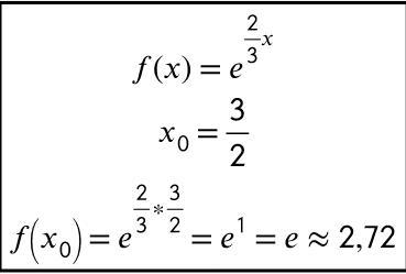
Ответ:
Получается просто e=2,72
Пошаговое объяснение:
Приложения:
Похожие вопросы
Предмет: Русский язык,
автор: Ахцах21
Предмет: Русский язык,
автор: сачыненнекрыница
Предмет: Русский язык,
автор: alinkareznik04
Предмет: ОБЖ,
автор: gikaru