Предмет: Математика,
автор: AndreykaGr
100 БАЛЛОВ Помогите пожалуйста решить, желательно подробно.
Приложения:
Ответы
Автор ответа:
1
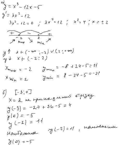
Ответ:
Пошаговое объяснение:
Приложения:
masha01021:
помогите пожалуйста
Похожие вопросы
Предмет: Русский язык,
автор: lankina2006
Предмет: Русский язык,
автор: davidknac2015
Предмет: Английский язык,
автор: narine2728
Предмет: Математика,
автор: zhalimbetova27
Предмет: Математика,
автор: gfgcg