Предмет: Алгебра,
автор: njutesxghtea356
ПОМОГИТЕЕЕ ПОЖАЛУЙСТА!!!!!
подробно с решением!!!!
Приложения:
Ответы
Автор ответа:
1
Ответ:
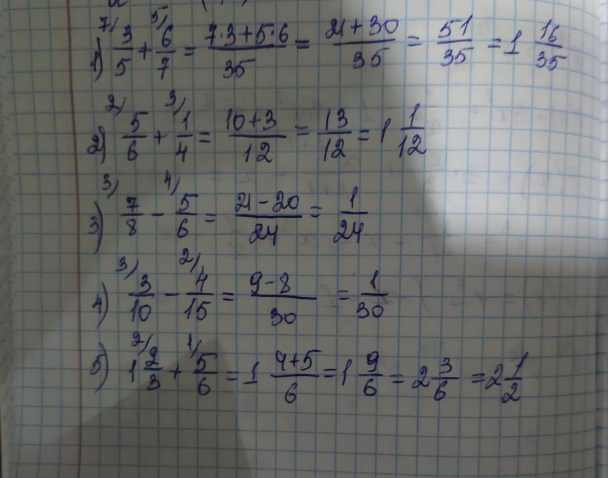
всё подробно решено на фото
Приложения:
Автор ответа:
0
Объяснение:
3/5+6/7
Общий знаменатель 35
21/35+30/35=51/35
5/6 + 1/4
Общий знаменатель 12
10/12+3/12=13/12
7/8-5/6
Общий знаменатель 48
42/48-40/48=2/48
3/10-4/15
Общий знаменатель 30
9/30-8/30=1/30
1 2/3+5/6= 5/3 + 5/6
Общий знаменатель 6
10/6+5/6= 15/6
Похожие вопросы
Предмет: Русский язык,
автор: ася432
Предмет: Русский язык,
автор: soniakochkina
Предмет: Другие предметы,
автор: 123natalia142
Предмет: Алгебра,
автор: Shugyla005
Предмет: Математика,
автор: cbnhhf