Предмет: Алгебра,
автор: maiev2021
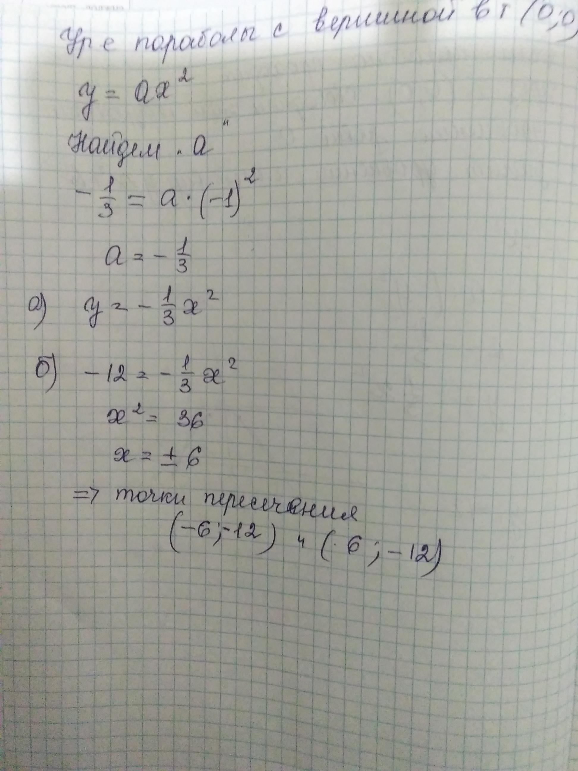
Парабола с вершиной в начале координат проходит через точку 
1. запишите уравнение этой параболы
2. определите точки пересечения этой параболы и прямой
Ответы
Автор ответа:
1
Смотри..................................
Приложения:
maiev2021:
Спасибо)
Похожие вопросы
Предмет: Английский язык,
автор: lianapelevina19
Предмет: Русский язык,
автор: NyashaEnot
Предмет: Қазақ тiлi,
автор: akonka951
Предмет: Математика,
автор: xxlpapirosim228
Предмет: Английский язык,
автор: Аноним