Предмет: Математика,
автор: Alladan
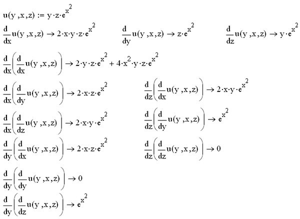
Найти частные производные второго порядка- u= yze в степени х в квадрате
Ответы
Автор ответа:
0
Функция трёх переменных
Приложения:
Похожие вопросы
Предмет: Другие предметы,
автор: valeria260902
Предмет: Қазақ тiлi,
автор: Аноним
Предмет: Математика,
автор: uma454998
Предмет: Математика,
автор: Anetta2010