Предмет: Алгебра,
автор: 6rkrmdd8qq
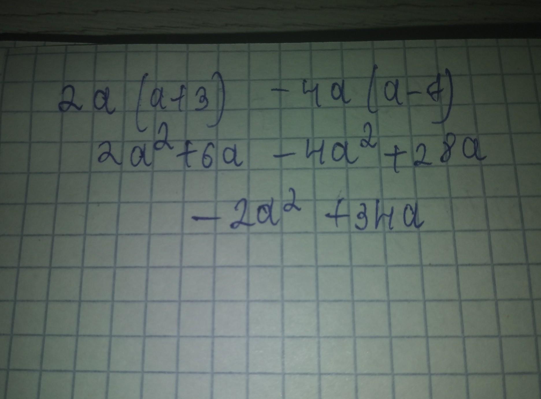
2a(a+3)-4a(a-7) упростите
Ответы
Автор ответа:
1
Ответ:
на фото
Обьяснение
Приложения:
Автор ответа:
1
Держи. Раскрываем скобки.
Приложения:
Похожие вопросы
Предмет: Английский язык,
автор: Ufkb5zsc4haermaryaka
Предмет: Русский язык,
автор: ольга070108
Предмет: Русский язык,
автор: shamsutdinova21
Предмет: Математика,
автор: bjrjfnfhfhch
Предмет: Алгебра,
автор: pewexu