Предмет: Математика,
автор: Dinara3408
сократить дробь:
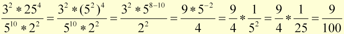
3 в степени 2 умножить на 25 степени 4 все это поделить на 5 в степени 10 умноженное на 2 степени 2
Приложения:
Ответы
Автор ответа:
0
Автор ответа:
0
Решение во вложении............................
Приложения:
Похожие вопросы
Предмет: Математика,
автор: gacholifeee
Предмет: История,
автор: Аноним
Предмет: Химия,
автор: Аноним
Предмет: Геометрия,
автор: Инга97
Предмет: История,
автор: WERTQYUI