Предмет: Алгебра,
автор: ritluchnikova1004
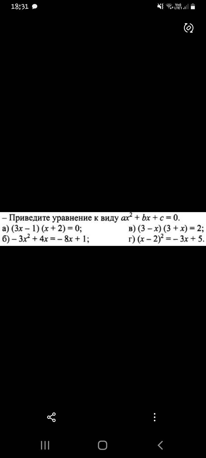
помогите пожалуйста(
дам 40 баллов!!^^
Приложения:
Ответы
Автор ответа:
1
Объяснение:
Смотри вложение
Приложения:
Похожие вопросы
Предмет: Русский язык,
автор: Lutik83v
Предмет: Русский язык,
автор: Умница1951
Предмет: Русский язык,
автор: Lutik83v
Предмет: Русский язык,
автор: assema2013